定義
卷積(Convolution)既是一個由含參變數的無窮積分定義的函式,又代表一種運算。其運算性質線上性系統理論、光學成像理論和傅立葉變換及其套用中經常用到。
線性[數學概念]卷積的運算性質有線性特性,複函數的卷積,可分離變數,卷積符合交換律,卷積符合結合律,坐標縮放性質,卷積位移不變性,函式f(x,y)與 函式的卷積。
其中線性特性可描述為:
設a,b為任意常數,則對於函式f(z,y),h(x,y)和g(x,y),
{af(x,Y)+bh(z,y)}*g(z,y)=-af(x,y)*g(x,y)+bh(x,y)*g(z,y)。
同樣有:
f(x,y)*{ah(x,y)+bg(x,y)=af(x,y)*h(x,y)+bf(x,y)*g(x,y)。
線性卷積
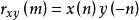
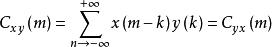
線性[數學概念]卷積運算是線性時不變系統分析的重要工具,很多濾波器的設計中都要用到卷積運算。下面給出線性卷積運算的定義。設有離散信號x(n)和y(n),其線性卷積為: 。
與線性相關運算不同的是:
①卷積運算時,y(n)要先反折得到y(-n)。
線性[數學概念]
線性[數學概念]②m>0表示y(-n)序列右移,m<0表示左移,不同的m得到不同的 值。其餘與相關計算相同。線性卷積運算的簡潔表示為: 。
線性[數學概念]式中的 表示線性卷機運算符。
線性[數學概念]
線性[數學概念]令 與 相比較,
線性[數學概念]則有 。
因而線性卷積運算結果序列點長也是序列x(n)的長度加上y(n)長度再減去1。
線性[數學概念]再令 中k=m—n,則n=m-k,
線性[數學概念]得 。
因而卷積運算交換先後不影響結果。
![線性[數學概念] 線性[數學概念]](/img/0/717/nBnauM3X4gDO1QzN3UDNycTO1UTM1QDN5MjM5ADMwAjMwUzL1QzLxEzLt92YucmbvRWdo5Cd0FmLwE2LvoDc0RHa.jpg)
