定義
距離[數學概念]
距離[數學概念]
距離[數學概念]
距離[數學概念]
距離[數學概念]
距離[數學概念]
距離[數學概念]
距離[數學概念]
距離[數學概念]
距離[數學概念]
距離[數學概念]
距離[數學概念]
距離[數學概念]
距離[數學概念]
距離[數學概念]設
是任一非空集,對中任意兩點有一實數與之對應且滿足:1)非負性、同一性:,且若且唯若;
2)對稱性:;
3)直遞性:。
稱為中的一個距離,定義了距離的集稱為一個距離空間,記為,在不引起混亂的情形下簡記為。
示例
本節共提供三個例子。
距離[數學概念]
距離[數學概念]
距離[數學概念]
距離[數學概念]
距離[數學概念]例1 設
是元實數組全體,令,
其中,,。
距離[數學概念]
距離[數學概念]
距離[數學概念]
距離[數學概念]
距離[數學概念]我們證明
是一個距離空間,為此我們需要驗證滿足距離的三條公理。1),2)顯然成立,關鍵是證明3)成立。我們先證明一下Cauchy不等式:對任意實數,,我們有。
距離[數學概念]
距離[數學概念]
距離[數學概念]事實上,任取實數
,則,
上面等式左端是的一個二次三項式,於是它的判別式不大於0,即Cauchy不等式成立。
距離[數學概念]
距離[數學概念]
距離[數學概念]
距離[數學概念]
距離[數學概念]
距離[數學概念]
距離[數學概念]
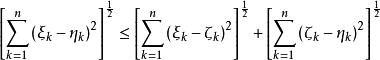
距離[數學概念]下面證明3)成立,由Cauchy不等式,得
。
設是任意三點,在上面不等式中令,則
,
即
。
距離[數學概念]
距離[數學概念]所以是一個距離空間,我們把這個空間簡記為。
距離[數學概念]
距離[數學概念]
距離[數學概念]
距離[數學概念]
距離[數學概念]
距離[數學概念]
距離[數學概念]
距離[數學概念]
距離[數學概念]
距離[數學概念]
距離[數學概念]
距離[數學概念]
距離[數學概念]例2考慮區間
上所有連續函式集,設是上任意兩個連續函式,定義,
由於也是上的連續函式,因此有最大值。距離公理1)2)顯然成立。設是上任意三個連續函式,則
。
所以
。
距離[數學概念]
距離[數學概念]
距離[數學概念]由此可知上的連續函式全體賦以上述距離是一個距離空間,記為。
距離[數學概念]
距離[數學概念]
距離[數學概念]
距離[數學概念]
距離[數學概念]
距離[數學概念]
距離[數學概念]
距離[數學概念]
距離[數學概念]
距離[數學概念]
距離[數學概念]
距離[數學概念]
距離[數學概念]
距離[數學概念]
距離[數學概念]
距離[數學概念]
距離[數學概念]
距離[數學概念]
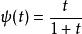
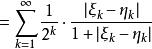
距離[數學概念]例3 考慮實數列
的全體。設是兩個實數列,定義上式右邊的是一個收斂因子,保證級數收斂,距離公理的1)2)顯然成立,為證明3)成立,考慮上的函式
,
易見,所以是單增的。由此,設。由於
,
則有
。
在上不等式兩邊乘並求和,得到
。
距離[數學概念]我們稱這個距離空間為。
