直線方程
平面方程
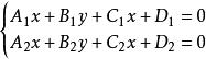
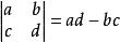
一般式
適用於所有直線的方程:
直線[數學概念]
直線[數學概念]
直線[數學概念](其中 、 不能同時為0)
點斜式
直線[數學概念]
直線[數學概念]知道直線上一點 ,並且直線的斜率 存在,則直線可表示為:
直線[數學概念]
直線[數學概念]當 不存在時,直線可表示為:
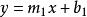
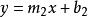
直線[數學概念]斜截式
直線[數學概念]
直線[數學概念]
直線[數學概念]
直線[數學概念]知道直線在 軸上截距為 (即經過點 ),斜率為 ,直線可表示為:
直線[數學概念]
直線[數學概念]當 不存在時,直線可表示為:
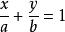
直線[數學概念]截距式
直線[數學概念]
直線[數學概念]
直線[數學概念]
直線[數學概念]知道直線與 軸交於 ,與 軸交於 ,則直線可表示為:
直線[數學概念]
直線[數學概念]
直線[數學概念]
直線[數學概念]當 、 均不為0時,斜截式可寫為
該表達式不適用於和任意坐標軸垂直的直線
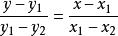
兩點式
直線[數學概念]
直線[數學概念]知道直線經過點 和點 ,且斜率存在,則直線可表示為:
直線[數學概念]法線式
直線[數學概念]
直線[數學概念]
直線[數學概念]
直線[數學概念]其中 為原點到直線的距離, 為法線與 軸正方向的夾角
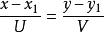
點方向式
直線[數學概念]
直線[數學概念]
直線[數學概念]
直線[數學概念]
直線[數學概念]知道直線上一點 , 、 不等於0,並且直線不與 軸、 軸平行,則直線可表示為:
直線[數學概念]點法向式
直線[數學概念]空間方程
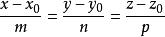
1. 一般方程 :
直線[數學概念]2. 點向式方程 :
設直線方向向量為(m,n,p ),經過點( x,y,z)
直線[數學概念]3. x0y式
x=kz+b,y=lz+b
有關內容
“角”
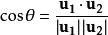
設平面e的法向量為c 直線m、n的方向向量為a、b
把平面ax+by+cz+d=0的法向量為(a,b,c);直線x=kz+b,y=lz+a的方向向量為(k,l,1)代入即可
則直線所成的角:m,n所成的角為a。
cosa=cos<a,b>=|a*b|/|a||b|
直線和平面所成的角: 設b為m和e所成的角,則b=π/2±<a,c>。sinb=|cos<a,c>|=|a*c|/|a||c|
平面兩直線所成的角:設K(l)=k,K(l)=k(kk≠-1),tan<l,l>=(k-k)/(1+kk)
距離
異面直線的距離:l、l為異面直線,l,l公垂直線的方向向量為n、C、D為l、l上任意一點,l1到l2的距離為|AB|=|CD*n|/|n|
點到平面的距離:設PA為平面的一條斜線,O是P點在a內的射影,PA和a所成的角為b,n為a的法向量。
易得:|PO|=|PA|sinb=|PA|*|cos<PA,n>|=|PA|*(|PA*n|/|PA||n|)=|PA*n|/|PA|
直線到平面的距離為在直線上一點到平面的距離;
點到直線的距離:A∈l,O是P點在l上的射影,PA和l所成的角為b,s為l的方向向量。
易得:|PO|=|PA|*|sinb|=|PA|*|sin<PA,s>|=|(PA| |s| |-|PA*s| ) /|s|
平面內:直線ax+by+c=0到M(m,n)的距離為|am+bn+c|/(a +b
平行直線:l1:ax+by+c=0,l2:ax+by+d=0,l1到l2的距離為|c-d|/(a +b )
備註:
直線是曲線的暫短停留。
套用
點與直線
一般情況下,點與直線的距離,是指點到直線的最短距離,即垂直距離。
在二維直角坐標中,直線 Ax+By+C=0 與點 (p,q) 的最短距離為
直線[數學概念]
直線[數學概念]
直線[數學概念]給出向量式 和 點 ,則有距離
直線[數學概念]直線相交點
不考慮重合的情形,在二維平面中,兩條相交直線可以相交或平行。
直線[數學概念]
直線[數學概念]給定兩條直線 和 ,二者相交的條件是
直線[數學概念]。
或等價地,
直線[數學概念],
直線[數學概念]當中 。
這時兩線的相交點可從克萊姆法則求得
直線[數學概念]相交直線夾角
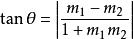
若兩線相交,則會形成夾角。兩線之間的夾角,通常指不大於90°的一隻。
在二維平面上,給定直線y=mx+b,該線與 x-軸的夾角為
直線[數學概念]。
直線[數學概念]
直線[數學概念]給定兩條直線和 ,二者互相垂直若且唯若
直線[數學概念]。
直線[數學概念]
直線[數學概念]而其他情況,兩線相交所形成的夾角(),則由
直線[數學概念]給出。
直線[數學概念]
直線[數學概念]給定相交直線向量式和,則有
直線[數學概念]。
直線的距離
一般情況下,兩條直線的距離,是指最短距離。
二維情況下,兩條相交直線的距離必然為 0 。
直線[數學概念]
直線[數學概念]若有兩條平行直線及,則有距離
直線[數學概念]。
直線[數學概念]
直線[數學概念]給定平行向量式和,則有
直線[數學概念]。
![直線[數學概念] 直線[數學概念]](/img/2/faf/nBnauM3X3QDM0ATN0EDOxMDN0UTMyITNykTO0EDMwAjMwUzLxgzLxMzLt92YucmbvRWdo5Cd0FmL0E2LvoDc0RHa.jpg)
