約化質量一般有兩個用法。
1.兩體孤立問題中(如雙星系統),以其中之一為參考系列另一物體的動力學方程,則有F=μ*a,a為在此參考系中的加速度,F為合外力。
2.兩體問題中,由科尼希定理知道,系統總動能可以寫為質心動能(二分之一總質量乘以質心速度平方)加上0.5*μ*v^2,其中v為兩體相對速度。
3.在某個方向不受外力的二體系統(如放在光滑桌面上的兩個小球)他們可在不受外力方向用約化質量。
4.在完全非彈性碰撞過程中的能量損失可用一物體作為參考系,總能量損失即為二分之一約化質量乘以相對速度的平方的差值。
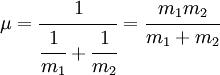
約化質量
