資用能(Available energy)
為了研究微觀粒子的結構和相互作用以及反應機制,需要使用加速器把粒子加速到很高的能量去撞擊靜止靶中的粒子,以觀測反應的結果,與理論互相印證。然而,在實驗室參考系中的質心動能 在反應前後是不變的,並不參與粒子間的反應,真正有用的能量,即資用能,只是高能粒子與靶粒子之間的相對動能 。現代的加速器多採用對撞機形式,它是使兩束相同的高能粒子沿相反方向運動,加速到很高的能量後進行對撞。這樣一來,實驗室系和質心繫便統一起來了,碰撞的全部能量都是資用能
資用能公式
資用能
資用能
資用能
資用能
資用能
資用能
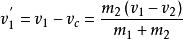
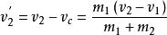
資用能假設有兩個粒子,質量分別為和,速度分別為和,他們的質心速度即為。可以由此得出兩個粒子相對於質心的相對速度和。
資用能
資用能
資用能其中;;我們令作為這兩個粒子組成的質點系的總質量。
資用能
資用能
資用能
資用能
資用能
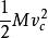
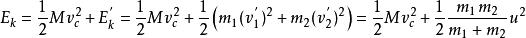
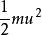
資用能根據柯尼希定理可以得到,其中。再令稱之為約化質量。上式可以表示為,該式中為質心動能,而即為資用能。

