概述
顆粒是指尺寸在毫米到納米之間,具有特定形狀的幾何體。顆粒不僅指固體顆粒,還有霧滴、油珠等液體顆粒。粒度指顆粒的大小。通常球體顆粒的粒度用直徑表示,立方體顆粒的粒度用邊長表示,對於不規則的顆粒,可將與之有相同行為的某一球體直徑作為該顆粒的等效直徑。
粒度分布指用特定的儀器和方法反映出的不同粒徑顆粒占粉體總量的百分數。有區間分布和累計分布兩種形式。區間分布又稱為微分分布或頻率分布,它表示一系列粒徑區間中顆粒的百分含量。累計分布也叫積分分布,它表示小於或大於某粒徑顆粒的百分含量。粒度分布可用不同的表示方法:①表格法,指用表格的方法將粒徑區間分布、累計分布一一列出的方法;②圖形法,指在直角標系中用直方圖和曲線等形式表示粒度分布的方法;③函式法,指用數學函式表示粒度分布的方法,這種方法一般在理論研究時用,如著名的Rosin-Rammler分布就是函式分布。
表示方法
表示粒度特性有以下幾個關鍵指標:
D50
一個樣品的累計粒度分布百分數達到50%時所對應的粒徑。它的物理意義是粒徑大於它的顆粒占50%,小於它的顆粒也占50%,D50也叫中位徑或中值粒徑。D50常用來表示粉體的平均粒度。
D97
一個樣品的累計粒度分布百分數達到97%時所對應的粒徑。它的物理意義是粒徑小於它的顆粒占97%。D97常用來表示粉體粗端的粒度指標。其他如D16、D90等參數的定義與物理意義與D97相似。
比表面積
單位質量的顆粒的表面積之和。比表面積的單位為m /kg或cm /g。比表面積與粒度有一定關係,粒度越細,比表面積越大。但這種關係不一定是正比關係 。
測定方法
食品的粒度是食品的特徵性質,取決於食品的類別、使用方法、要求的口感等因素。通常來說,食物的顆粒越小,越有利於呈味成分的釋放,同時對口腔的觸動較柔和,對味覺的影響有利。細膩的食品可美化口感,此點對醬體類、膏狀等含有水分較高的食品尤其重要,對於朱古力則更為突出。
實驗室常用的測定物料粒度組成的方法有篩析法、沉降法、雷射法和顯微法等。
篩析法用於測定0.038~250 mm物料的粒度,實驗室標準套篩的測定範圍為0.038~6 mm;顯微鏡法能逐個測定顆粒的投影面積,以確定顆粒的粒度,光學顯微鏡測定的範圍為0.4~150 μm,電子顯微鏡的測定下限粒度可達0.001 μm甚至更小。
常用的粒度分析儀有雷射粒度分析儀、超聲粒度分析儀、消光法光學沉積儀及X射線沉積儀等。
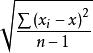
粒度測試常需重複進行,因為同一個樣品多次測量的結果之間存在偏差。重複性指標是衡量一個粒度測試儀器和方法好壞的最重要的指標。粒度重複性計算可用下式表示。
粒度[顆粒的大小]σ=
式中:
n-測量次數(一般n≥10);
x-每次測試結果的典型值(一般為D50值);
x-多次測試結果典型值的平均值
σ-標準差
影響粒度測試重複性有儀器和方法本身的因素、樣品製備方面的因素,環境、操作方面的因素等。粒度測試應具有良好的重複性是對儀器和操作人員的基本要求 。
![粒度[顆粒的大小] 粒度[顆粒的大小]](/img/3/8e2/nBnauM3XxIjNzADM2czMxMzM1UTM1QDN5MjM5ADMwAjMwUzL3MzL4QzLt92YucmbvRWdo5Cd0FmLwE2LvoDc0RHa.jpg)
