簡介
粒子衰變是一基本粒子變成其他基本粒子的自發過程。在這個過程中,一基本粒子變成質量更輕的另一種基本粒子,及一中間粒子,例如μ子衰變中的W玻色子。這中間粒子隨即變成其他粒子。如果生成的粒子不穩定,那么衰變過程還會繼續。粒子衰變這種過程,與放射性衰變不一樣,後者為一不穩定的原子核,變成一更小的原子核,當中還伴隨著粒子或射線的發射。
粒子壽命列表
所有數值均來自粒子數據小組:
| 種類 | 名稱 | 符號 | 能量 (MeV) | 平均壽命 |
| 輕子 | 電子 / 正電子 | e-/e+ | 0.511 | 年 |
| μ子 / 反μ子 | μ-/μ+ | 105.6 | 秒 | |
| τ子 / 反τ子 | τ-/τ+ | 1777 | 秒 | |
| 介子 | 中性π介子 | π0 | 135 | 秒 |
| 帶電π介子 | π+/π- | 139.6 | 秒 | |
| 重子 | 質子 / 反質子 | Ρ-/Ρ+ | 938.2 | > 1029年 |
| 中子 / 反中子 | n/ǹ | 939.6 | 885.7 秒 | |
| 玻色子 | W玻色子 | W+/W- | 804,000 | 10 − 25 秒 |
| W玻色子 | Z0 | 91000 | 10 − 25 秒 |
生還機率
把一個粒子的平均壽命標記為τ,這樣粒子在時間 t後仍生還(即未衰變)的機率為 P( t) = e
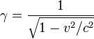
粒子衰變其中為該粒子的洛倫茲因子。
衰變率
粒子衰變設一粒子質量為 M,則衰變率可用下面的通用公式表示其中 n為原衰變所生成的粒子數,m為連線始態與終態的不變矩陣上的元,dФn為相位空間的元,即為粒子 i的四維動量。
四維動量
在狹義相對論中,四維動量是將古典三維動量推廣到四維空間。 動量是三維向量; 類似地,四維動量是時空中的四向量。 具有相對論能量E和三空間動量p =(p,p,p)=γmv的粒子的逆向四維動量,其中v是粒子的三空間速度,γ是洛倫茲因子。
粒子衰變mv是粒子的平均非相對動量,m是其餘質量。四維動量在相對論計算中是有用的,因為它是洛倫茲矢量。 這意味著很容易跟蹤在洛倫茲變換下如何變換。

