簡諧振動
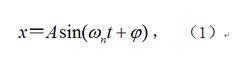
以 x表示位移, t表示時間,這種振動的數學表達式為:
簡諧振動
簡諧振動
簡諧振動式中 A為位移 x的最大值,稱為振幅,它表示振動的強度; ω表示每秒中的振動的幅角增量,稱為角頻率,也稱圓頻率;稱為初相位。以 f= ω/2π表示每秒中振動的周數,稱為頻率;它的倒數, T=1/ f,表示振動一周所需的時間,稱為周期。振幅 A、頻率 f(或角頻率 ω)、初相位 ,稱為簡諧振動三要素。
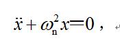
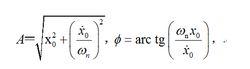
如圖2所示,由線性彈簧聯結的集中質量 m構成簡諧振子。當振動位移自平衡位置算起時,其振動方程為:
簡諧振動
簡諧振動
簡諧振動但 ω只由系統本身的特徵 m和 k決定,與外加的初始條件無關,故 ω亦稱固有頻率。
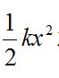
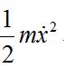
簡諧振動對於簡諧振子,其動能
簡諧振動和勢能
簡諧振動之和為—常量,即系統的總機械能守恆。在振動過程中,動能和勢能不斷相互轉化。

