簡介
簡單回答方差是在研究計量誤差中的一個名詞。
簡單回答方差反映單個回答在不受其它回答影響下對總回答方差的影響,要反映回答者和調查人員對回答偏差的影響,我們就必須維持其或總回答方差的相關分量這兩影響因素(回答者或調查人員)其一不變來對簡單回答方差和相關分量進行估計,因而可以分別採用對子樣本重複調查的方法和交叉子樣本方法。
公式
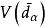
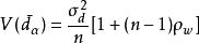
設y是在第α次重複計量中所得到的數值,y=μ+e,μ為正確的數值,e為計量的誤差,E (e) =β,d-e-β,為單位i的回答離差,並假定同一樣本中各單位的d的一些數值或全部數值是相關的,把重複計量的數值和簡單隨機樣本加以平均,就得出:
簡單回答方差
簡單回答方差其中平均樣本內相關係數ρ可由公式E (d, d=) =ρσ及來定義,稱 為總回答方差,稱σ/n為簡單回答方差。
計量誤差
由於計量工具、標準,計量單位或計量方法不當等造成的調查誤差。這要靠加強計量工作,使用標準的計量工具和計量單位,採用科學的計量方法來解決。
