定義
為研究估計簡單回答方差與抽樣方差的相對大小,普里茨克與漢森稱比率:
不一致指數
不一致指數
不一致指數
不一致指數
不一致指數
不一致指數
不一致指數
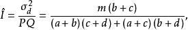
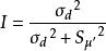
不一致指數為 不一致指數。其中 為簡單回答方差, 是在第 次重複計量中所得到的數值, 為正確的數值, (計量誤差), 為 的均值。
性質
不一致指數
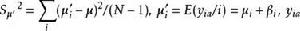
不一致指數當為 變數時,從子樣本對 所作的一個估計量為:
不一致指數
不一致指數
不一致指數
不一致指數其中 為對 變數回答的總頻數即 分別是第一個計量人員和第二個計量人員分別對變數1和0的回答頻數。
拓展
人口與產業分布不一致指數
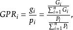
人口集中和生產集中的偏離可用” 人口與產業不一致指數”(GPR)來表示,它等於某地區生產總值占全國生產總值的份額與人口占全國總人口份額之比值。若GPR等於1,表示該地區占全國經濟總量與人口所占份額相等,說明人口與產業集聚相互協調;此值小於1說明該地區產業規模小、人口數量多;此值大於1則說明產業集聚而人口沒有相應集聚,二者被認為是非協同集聚。定義 人口產業分布不一致指數GPR的公式為:
不一致指數
不一致指數
不一致指數
不一致指數
不一致指數其中, 為 省區的地區生產總值; 為 省區的總人口。
調查資料與真值不一致指數
以某次計畫生育的統計資料(如下表所示)為例。
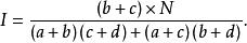
不一致指數不一致指數(反映調查資料與真值不一致程度)的計算公式為:
不一致指數
不一致指數
不一致指數
不一致指數
不一致指數本例中, 通常在0與1之間,0表示無誤差, 越大表示誤差越大。 偶可大於1。
