簡介
在進行微波系統分析時,可以把一個微波系統用一個電路和網路來等效,從而把一個本質上是電磁場的問題化為一個網路的問題,然後利用網路理論來進行分析,求解出系統各個連線埠之間信號的相互關係。節點導納矩陣就是微波網路中用連線埠電壓(自變數)表示連線埠電流(因變數)的參量矩陣。
二連線埠網路
圖1二連線埠網路電壓、電流示意圖
節點導納矩陣用矩陣表示
節點導納矩陣其中
Y為T面短路時,連線埠1的輸入導納;
Y為T面短路時,連線埠2的輸入導納;
Y為T面短路時,連線埠2至連線埠1的轉移導納;
Y為T面短路時,連線埠2至連線埠1的轉移導納。
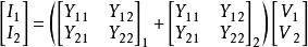
當兩個二連線埠網路並聯時
圖2兩個二連線埠網路並聯此時
節點導納矩陣
節點導納矩陣
節點導納矩陣
節點導納矩陣也可簡寫為
節點導納矩陣
節點導納矩陣故並聯網路的導納為
n個網路並聯時
節點導納矩陣N連線埠網路
節點導納矩陣其中,Y是其它所有連線埠都短路時,連線埠i的輸入導納。
Y則是其它所有連線埠都短路時,連線埠j和連線埠i之間的轉移導納。

