類型
等額年金法分為先付和後付。
1)先付租金的等額年金法
在租金先付的情況下,等額年金法的計算公式為:
2)後付租金的等額年金法
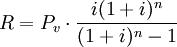
按照年金法計算的基本原理,後付租金的等額年金法的基本計算公式為:
R:年金或每期租金;Pv:本金(Principle Value);
等額年金法i(Interest rate):利率;n(Number of years):租貨期數
計算方法
等額年金法是我國目前租賃業務中最常用的計算方法,因此,把握這種方法,對企業開展租賃業務,正確地計算租金具有十分重要現實意義。
相關條目
年金
年金法
RATE函式
參考文獻
1 詹向陽等.中國企事業金融活動指南.北京工業大學出版社,1993年10月第1版.

