定義
年金法,是以現值理論為基礎的租金計算方法,即將一項租賃資產在未來各租賃期內的租金按一定的利率換算成現值,使其現值總和等於租賃資產的概算成本的租金計算方法。
分類
年金法可分為等額年金法和變額年金法,等額年金法包括後付租金的等額年金法和先付租金的等額年金法;變額年金法又包括等差變額年金法和等比變額年金法。
1、等額年金法
等額年金法指運用年金法,使各期租金均等的租金計算方法。分為先付和後付。
1)先付租金的等額年金法
在租金先付的情況下,等額年金法的計算公式為:
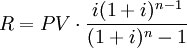
2)後付租金的等額年金法
按照年金法計算的基本原理,後付租金的等額年金法的基本計算公式為:
2、變額年金法
1) 等差變額年金法
等差變額年金法是指運用年金法,並從第二期開始,使每期租金比前一期增加(或減少)一個常數d的租金計算方法。
首先,假定:
Pv表示租賃設備的概算成本 n表示租期數 i表示每期利率 R1,R2,...,Rn分別表示每1、2、...、n期的租金額。
表示年金現值係數
d表示每期租金比前一期增加(或減少)的常數 則每一期租金的計算公式為:
以後各期租金可以信次加(或減)去相應的若干倍d來求得。總租金的
公式為: 2)等比變額年金法
等比變額年金法是指運用年金法,並從第二期開始,使每期租金與前一期的比值是同一個常數q的租金計算方法。
首先,假定:
Pv表示租賃設備的概算成本; n表示租期數; i表示每期利率; R1,R2,...,Rn分別表示每1、2、...、n期的租金額; q表示每期租金與前一期的比值。 則第一期租金的計算公式為:
以後各期租金可以依乘以(或除以)相應的若干倍q來求得。租金總額公式為:

