計算公式
期初年金法
期初年金法
期初年金法
期初年金法例:一筆20萬元的租賃交易,年利率為10%,租賃期為2年,每半年支付一次租金,某年1月1日起租。計算過程及結果如下:
相關條目
等額年金法
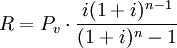
期末年金法
參考文獻
1 陳浪南.商業銀行經營管理.中國金融出版社,2001年.
期初年金法的租金計算與期末法基本相同,區別僅在於每期租金是在開始日支付,所以它又稱為先付法。由於這種支付方法可使出租人早日收回墊支資金,因而相應減少承租人的利息負擔。
期初年金法
期初年金法
期初年金法
期初年金法例:一筆20萬元的租賃交易,年利率為10%,租賃期為2年,每半年支付一次租金,某年1月1日起租。計算過程及結果如下:
等額年金法
期末年金法
1 陳浪南.商業銀行經營管理.中國金融出版社,2001年.
年金法,是將一項租賃資產價值 按動態等額分攤到未來各租賃期間內的租金計算方法。年金法計算有期初支付和期末支付租金之分。
定義 分類企業年金基金,是指根據依法制定的企業年金計畫籌集的資金及其投資運營收益形成的企業補充養老保險基金。
組成 運作流程 管理試行辦法 準則第10號年金現值就是在已知等額收付款金額未來本利(Future Value)、利率(interest)(這裡我們默認為年利率)和計息期數n時,考慮貨幣時間價值,...
分類 計算 係數表 作用年金終值就是在已知等額收付款金額Present、利率(這裡我們默認為年利率)interest和計息期數n時,考慮貨幣的時間價值,計算出的這些收付款到到期...
概念與分類 背景 分類與計算 係數表年金負債由於時間推移而產生的利息,根據期初應計年金負債餘額與市場利率計算...、現金股利以及資本利得扣除各種管理費用後的淨收益,根據期初年金基金資產餘額和...當期只確認超出期初年金基金資產和期初應計年金負債中的較大者10%以外的部分...
會計核算 特點年金負債由於時間推移而產生的利息,根據期初應計年金負債餘額與市場利率計算...、現金股利以及資本利得扣除各種管理費用後的淨收益,根據期初年金基金資產餘額和...當期只確認超出期初年金基金資產和期初應計年金負債中的較大者10%以外的部分...
會計核算 特點年金積累值 293.3 期初付確定年金 313.3.1 確定年金現值... 6.4.2 死亡所在1m年末付人壽保險與年賠付m次期初付生存年金...理論基礎,又突出實用性。全書以利息理論、確定年金為基礎,圍繞生命表展開...
內容簡介 目錄:是指從第一期開始,在一定時期內每期期初等額收付的系列款項,又稱為先付年金...方法採用的就是單利計息法。複利計息方式下,每期都按上期期末的本利和作為...單利計息法計算:第一年末的利息是100元×10%=10元,第二年末的利息...
概述 計算方法 基本類型 存在的原因 影響因素,應當折算為人民幣。 第六條 金融企業的會計記賬採用借貸記賬法...
概述 第一章 總則 第二章 資產 第三章 負債 第四章 所有者權益