變額年金法的分類及計算
變額年金法分為等差變額年金法和等比變額年金法。
①等差變額年金法。
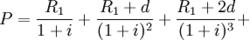
變額年金法在這種方法下,每期租金都比前一期增加一個常數d。其公式是:
式中:R1 真為第一期期末支付的租金;d為常數。
根據定義:R2 = R1 + d
R3 = R1 + 2d
……
Rn = R1 + (n − 1)d
變額年金法
變額年金法
變額年金法
變額年金法
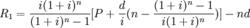
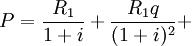
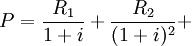
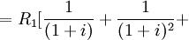
變額年金法將上面R1 ,R2 ,R3 ……Rn 的內容代入
如果d > 0,則後一期租金比前一期租金增加一個正數,稱為等差遞增變額年金法。
如果d < 0,則後一期租金比前一期租金增加一個負數,稱為等差遞減變額年金法。
如果d=0,則為等額年金法,因此,等額年金法是變額年金法的特例。
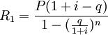
②等比變額年金法。
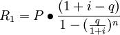
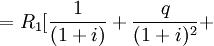
變額年金法在這種方法下,每期租金與前一期租金的比值總是一個常數q。公式如下:
式中:R1 為第一期期末支付的租金額;q為常數。
變額年金法
變額年金法
變額年金法
變額年金法
變額年金法
變額年金法公式可推導如下:
如果q > 1,則為等比遞增變額年金法。
如果q < 1,則為等比遞減變額年金法。
如果q = 1,則為等額年金法。
由此我們可以看出,使用變額年金法,每次支付租金的金額不同,有時遞增、有時遞減;此法符合收益與成本相配比的原則;d與q的大小難以確定,而且d、q越大,租金增額越多。
相關條目
年金法
等額年金法
參考文獻
1 張素琴,吳祖明,張功富等.現代金融學概論.首都經濟貿易大學出版社,1997年08月第1版
