計算公式
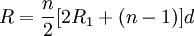
等差變額年金法等差變額年金法的計算公式為:
該式為等差變額年金法第1期租金的計算公式。公式中的d表示每期租金比前1期增加(或減少)的常數。
當d>0時,是等差遞增變額年金法;
當d<O時,是等差遞減變額年金法;
當d=0時,是等額年金法。
等差變額年金法
等差變額年金法事實上,等額年金法可以看做是等差變額年金法的特例。根據第l期租金,可求出其餘各期租金和租金總額。
相關條目
等比變額年金法
參考文獻
1 王淑敏,齊佩金主編.第十一章 租賃程式和租金 金融信託與租賃.中國金融出版社,2012.09.
