簡介
等角條件就是使地球橢球面上任二方向所夾之角投影到平面上以後,保持夾角的大小不變。因此,為了保持等角,就必須使角度變形為零,這是等角投影的基本條件。
等角條件作用
在地圖投影中,一般說來雖然存在有長度變形、面積變形和角度變形。但如果我們給予特殊條件,可使某種投影保持角度沒有變形,或面積沒有變形,或某特定方向(主方向)長度沒有變形。等角條件的作用就是使角度沒有變形。
等角條件原理
為了保持等角,必須使角度變形等於零,即ω=0,這樣按公式就有a=b,此即為等角條件。由此可見,在等角投影中,變形橢圓不是一個橢圓而是一個圓。即地球橢球面上一個微小的圓,投影到平面上以後仍然是一個圓,不過這個圓與原來的圓大小不相等,而只是在個別的點或線上相等。
等角條件形式
等角條件常用的形式有:
1、ω=0,或a=b。其中ω為最大角度變形;a、b分別為變形橢圓的長半徑和短半徑,即極值長度比。
2、θ=90°,m=n,其中,θ為經緯線投影的夾角;m、n分別為經線與緯線的長度比。在經緯線正交的投影中,其經線長度比與緯線長度比相等。
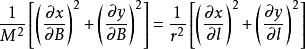
3、若將等角條件用偏導數表示則有
等角條件
等角條件和
4、上式含有四個偏導數,若將偏導數中之二以另外二偏導數表示,那么等角條件可寫成
等角條件
等角條件等角條件、等面積條件和等距離條件
等角條件
等角投影可定義為任何點上二微分線段組成的角度投影前後保持不變。亦即投影前後對應的微分面積保持圖形相似,故亦可稱為正形投影。等角條件是等距離投影的基本條件。
等面積條件
等面積投影定義為某一微分面積投影前後保持相等,亦即其面積比為1。等面積條件是等面積投影的基本條件。
等距離條件
地圖投影中有一種常用的稱為等距離投影的類別,其定義是沿某一特定方向之距離,投影前後保持不變,即沿該特定方向長度比等於1。通常,這個特定方向在正軸投影時,是在沿經線方向上等距離。 等距離條件是等距離投影的基本條件。
須要注意的是以上三種投影條件,或兩種投影條件,不能同時套用於一種地圖投影中去。希望等角就不能等面積或等距離,希望等面積就不能等角或等距離,希望等距離也不能等角或等面積。因為如果都能以滿足,那就意味著地圖投影沒有變形了,這是不可能的。

