定義
等壓面氣壓因為海拔高度和地面冷熱的不同導致氣壓的不同,一般來說,在垂直方向上隨著高度的升高,等壓面的數值在變小,如果地面的性質是均一的,大氣的性質也是均一的,那等壓面就是互相平行的,否則就是高低起伏。等壓面是空間氣壓相等的各點所組成的面。由於同一高度,各地氣壓不相等,等壓面在空間不是平面,而是像地形一樣起伏不平。
採用繪製地形圖的方法,用等高線將起伏不平的等壓面投影到平面圖上,構成等壓面圖。 在等壓面圖上,用等高線表示氣壓的空間分布。等壓面凸起的地方,表示在同一高度上,氣壓比四周高。在等壓面圖上,是一組閉合等高線構成的高值區,即高壓區。等壓面凹下,表示同一高度上,氣壓比四周低。在等壓面圖上,是一組閉合等高線構成的低值區,即低壓區。因此,在等壓面圖上,由等高線的分布可反映等壓面的起伏,表示氣壓的空間分布狀況。
等壓面的高度不是幾何高度,而是位勢高度。位勢高度是以單位質量物體從海平面抬升到空間某高度位置上克服重力所作的功來表示。氣象上通常用的等壓面圖有850百帕、700百帕、500百帕等多種。不同高度的等壓面圖組合起來,不僅反映大范地區高壓、低壓等天氣系統的空間分布狀況,而且能反映高空大氣的結構及其演化規律,它是大範圍天氣形勢預報的基礎。
注意事項
關於等壓線的閱讀:要注意數值。一般是等線等壓、等壓等線。一般在一幅圖中每兩條等壓線之間的等壓距是相等的,所以只要知道其中兩條線的值就可以推知任何一條線的數值。如果等壓線是閉合時,則中心數值大的為高壓中心,又叫反氣旋。
在它控制下的天氣是晴朗的,反之為低壓中心.叫氣旋,其控制下是陰雨天氣。當然還可以根據等壓線的疏密來判斷風力的大小等。
等壓面坐標系的優勢
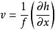
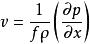
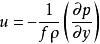
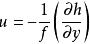
垂直坐標用高度表示時,地轉風公式為:
等壓面
等壓面如果用氣壓坐標(即在等壓面上),則地轉風共識為:
等壓面
等壓面顯然在等壓面上計算地轉風就不會出現密度變數,這比在高度坐標系中計算方便的多。因此天氣分析和預報中一般都採用氣壓垂直坐標,即在等壓面上分析和計算。
等壓面的特性
等壓面的特性是: 等壓面永遠與質量力正交。
因此,已知質量力的方向便可求等壓面的方向;反之,若等壓面的方向已知,便可確定質量力的方向。

