定義
符號間干擾 - ISI - Inter Symbol Interference,所謂符號間干擾就是由無線電波傳輸多徑與衰落以及抽樣失真引起的。而碼間干擾指的就是多址干擾,主要是由於各用戶信號之間存在一定的相關性造成的,而且會承接用戶數量和發射功率的增加而迅速增大。符號間干擾指的是下面的含義:
(1)在一個數字傳輸系統中所接收的信號的失真,該失真是表現在單個信號的暫時分散和隨後的重疊,直到接收器無法準確地區分狀態之間改變(例如,單個信號元素)的程度
(2)在一個或多個電鍵間隔中的額外信號能量,該能量干擾了在另外一個電鍵間隔的信號的接收
(3)由於來自一個或多個電鍵間隔中的額外信號能量所造成的干擾,它妨礙了在另外一個電鍵間隔內的信號接收。
產生原因
在無線信道中,由於存在多徑傳播問題,對數據傳輸也會產生ISI。當數據速率提高時,數據間的間隔就會減小,到一定程度符號重疊無法區分,產生ISI。
在“相干頻寬”術語描述中可知,同一信號經多徑傳播後產生的干擾與該信號經過不同路逕到達接收端的時延有關:如圖1所示,當時延之差恰好等於信號的脈衝周期時,則信號2的第2個脈衝到達接收台時,信號1的第1個脈衝剛好到達接收台,則接收端信號就是脈衝1和脈衝2的合成。如果增大信號的脈衝周期,即相當於信號頻寬變窄,此時由於時延之差不變,信號1和信號2的第1個脈衝在接收台相重疊的部分就會增大,而信號1和信號2如果僅僅是相同信號的不同途徑傳播,則這種同一信號由於多徑傳播在接收台的相互重疊而產生的干擾就稱之為符號間干擾。
除了多徑傳播之外,由於實際傳輸時頻帶有限,在接收端只能採用抽樣的方式進行信號恢復,抽樣會造成失真,這種失真也是符號間干擾的一個成因。
為了抵抗符號間干擾,人們採用了OFDM技術,該技術將寬頻信號分成很多較窄的子帶信號進行傳播,每個子帶信號由於信號頻寬的變窄,使得同一信號經過多徑傳播後在一個脈衝周期內產生的重疊部分增多,從而可以有效地降低由於多徑傳播產生的符號間干擾。關於OFDM抗衰落和干擾的技術,還可參見“多徑效應”術語的相關描述。
數學模型
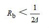
符號間干擾由於時延擴展現象,限制了數據傳輸速率。為了在抽樣時刻無符號間干擾,一般情況下可以認為均方時延擴展不能大於碼元寬度一半所對應的時間,即:
符號間干擾當時延帶來的誤碼率不能滿足要求,所傳輸的業務又不能再降低碼元速率時,就要採用均衡技術來降低符號間干擾。
時延擴展:
由於到達接收機的信號是經過不同路徑、有時間差異的各個信號的合成信號。該合成信號在時域上將會出現相對於原信號的時延擴展。
時延擴展定義為最大傳輸時延和最小傳輸時延的差值,即最後一個可分辨的時延信號與第一個時延信號到達時間的差值,實際上就是脈衝展寬的時間。時延擴展是衡量多徑傳播信道質量的一個重要指標。在數字傳輸中,由於時延擴展,接收信號中一個碼元的波形會擴展到其他碼元周期中,引起碼間串擾,應使碼冗周期大於多徑引起的時延擴展。
時延擴展對數位訊號傳輸是有影響的。一般而言時延擴展必然導致碼元寬度增加,這就會產生碼間串擾,使接收波形失真。
均衡技術:
理論和實踐證明,在數字通信系統中插入一種可調濾波器可以校正和補償系統特性,減少碼間干擾的影響。這種起補償作用的濾波器稱為均衡器。
均衡器通常是用濾波器來實現的,使用濾波器來補償失真的脈衝,判決器得到的解調輸出樣本,是經過均衡器修正過的或者清除了碼間干擾之後的樣本。自適應均衡器直接從傳輸的實際數位訊號中根據某種算法不斷調整增益,因而能適應信道的隨機變化,使均衡器總是保持最佳的狀態,從而有更好的失真補償性能。

