人物生平
童年
1596年3月31日,勒內·笛卡爾出生在法國安德爾-羅亞爾省的圖賴訥拉海(現為笛卡爾)。他出身於地位較低的貴族家庭,父親Joachim是雷恩的布列塔尼議會的議員,同時也是地方法院的法官。
1歲多時母親患肺結核去世,而他也受到傳染,造成體弱多病 。笛卡爾因從小多病,但是家境富裕從而使學校允許他在床上早讀。母親去世後,父親移居他鄉並再婚,而把笛卡爾留給了他的外祖母帶大,自此父子很少見面,但是父親一直提供金錢方面的幫助,使他能夠受到良好的教育,追求自己的興趣而不用擔心經濟來源問題。也因此養成終生沉思的習慣和孤僻的性格。父親見他頗有哲學家的氣質,親昵地稱他為“小哲學家”。
1606或1607年,父親希望笛卡爾將來能夠成為一名神學家,於是在笛卡爾八歲時將其送入歐洲最有名的貴族學校──位於拉弗萊什的耶穌會的皇家大亨利學院學習 。校方為照顧他孱弱的身體,特許他不必受校規的約束,早晨不必到學校上課,可以在床上讀書 。因此,他從小養成了喜歡安靜,善於思考的習慣。他在該校學習8年,接受了傳統的文化教育,學習了古典文學、歷史、神學、哲學、法學、醫學、數學及其他自然科學。他學習到了數學和物理學,包括伽利略的工作 。但他對所學的東西頗感失望,因為在他看來教科書中那些微妙的論證,其實不過是模稜兩可甚至前後矛盾的理論,只能使他頓生懷疑而無從得到確鑿的知識,惟一給他安慰的是數學。
這裡有一段關於哲學家笛卡爾論星星的趣話。有一次笛卡爾坐在自己屋前的台階上,正在凝視著落日後昏暗的地平線。一個過路人走近他的身旁,問道:“喂!聰明人,請問,天上有多少顆星星?”他回答道:“蠢人!誰也不能擁抱那無邊無際的東西……”
青年
1616年12月畢業後,他遵從他父親希望他成為律師的願望,進入普瓦捷大學學習法律與醫學,對各種知識特別是數學深感興趣,並獲得業士學位和文憑 。畢業後笛卡爾一直對職業選擇不定,又決心遊歷歐洲各地,專心尋求“世界這本大書”中的智慧。
1618年,笛卡爾加入荷蘭拿騷的毛里茨的軍隊。但是荷蘭和西班牙之間簽訂了停戰協定,於是笛卡爾利用這段空閒時間學習數學 。在軍隊服役和週遊歐洲期間他繼續注意“收集各種知識”,“隨處對遇見的種種事物注意思考”。在笛卡爾的時代,拉丁文是學者的語言。他也如當時的習慣,在他的著作上籤上他的拉丁化的名字——Renatus Cartesius(瑞那圖斯·卡提修斯)。正因為如此,由他首創的笛卡爾坐標系也稱卡提修坐標系。
笛卡爾對結合數學與物理學的興趣,是在荷蘭當兵期間產生的。
1618年11月10日,他偶然在路旁公告欄上,看到用佛萊芒語提出的數學問題徵答。這引起了他的興趣,並且讓身旁的人,將他不懂的佛萊芒語翻譯成拉丁語。這位身旁的人就是大他八歲的以撒·貝克曼(Isaac Beeckman)。貝克曼在數學和物理學方面有很高造詣,很快成為了他的導師 。4個月後,他寫信給貝克曼:“你是將我從冷漠中喚醒的人……”,並且告訴他,自己在數學上有了4個重大發現。
據說,笛卡爾曾在一個晚上做了三個奇特的夢。第一個夢是,笛卡爾被風暴吹到一個風力吹不到的地方;第二個夢是他得到了打開自然寶庫的鑰匙;第三個夢是他開闢了通向真正知識的道路。這三個奇特的夢增強了他創立新學說的信心。這一天是笛卡爾思想上的一個轉折點,也有些學者把這一天定為解析幾何的誕生日。
1621年笛卡爾退伍回國,時值法國內亂,於是在1622年,時年26歲的笛卡爾變賣掉父親留下的資產,用4年時間遊歷歐洲,其中在義大利住了2年,隨後於1625年遷住於巴黎。因為在當時的法國教會勢力龐大,不能自由討論宗教問題。
1628年笛卡爾移居荷蘭,在那裡住了20多年。在此期間,笛卡爾對哲學、數學、天文學、物理學、化學和生理學等領域進行了深入的研究且致力於哲學研究發表了多部重要的文集,並通過數學家梅森神父與歐洲主要學者保持密切聯繫。
他的主要著作幾乎都是在荷蘭完成的。
1628年,寫出《指導哲理之原則》。
1634年完成了以尼古拉·哥白尼學說為基礎的《論世界》。書中總結了他在哲學、數學和許多自然科學問題上的一些看法。
1637年,用法文寫成三篇論文《屈光學》、《氣象學》和《幾何學》,並為此寫了一篇序言《科學中正確運用理性和追求真理的方法論》,哲學史上簡稱為《方法論》( Discours de la méthode)(1637)。6月8日在萊頓匿名出版。
《哲學原理》( les Principes de la philosophie)(1644)。
《形上學的沉思》( Méditations métaphysiques)(1641)等就此笛卡爾成為歐洲最有影響力的哲學家之一。
離世
1650年2月去世,享年54歲。終生未婚。由於教會的阻止,僅有幾個友人為其送葬。死後還出版有《論光》(1664)等。
1663年他的著作在羅馬和巴黎被列入梵蒂岡教皇頒布的禁書目錄之中。但是,他的思想的傳播並未因此而受阻,笛卡爾成為17世紀及其以後對歐洲哲學界和科學家最有影響的巨匠之一。
1740年,巴黎才解除了禁令,那是為了對當時在法國流行起來的牛頓世界體系提供一個替代的東西。
1789年法國大革命後,笛卡爾的骨灰和遺物被送進法國歷史博物館。
1819年,其骨灰被移入聖日耳曼德佩教堂中。
他的哲學與數學思想對歷史的影響是深遠的。人們在他的墓碑上刻下了這樣一句話:“笛卡爾,歐洲文藝復興以來,第一個為人類爭取並保證理性權利的人。”
個人生活
笛卡爾的婚姻:與斯賓諾莎、牛頓、萊布尼茨一樣,笛卡爾終身未婚,沒有享受到家庭生活所帶來的快樂。他有一私生女,但不幸夭折,為其終生憾事。
宗教信仰
笛卡爾的宗教信仰在學術圈中一直被嚴格地爭論著。他聲稱是虔誠的羅馬天主教徒,以及“沉思”的目的是為了維護基督教信仰。但是在他自己的時代,笛卡爾被指控宣揚秘密的自然神論和無神論信仰。與他同時代的布萊茲·帕斯卡說,“我不能原諒笛卡爾;他在其全部的哲學之中都想能撇開上帝。然而他又不能不要上帝來輕輕碰一下,以便使世界運動起來;除此之外,他就再也用不著上帝了。”
史蒂芬·高克羅格的笛卡爾傳記中寫到,“他作為一個天主教徒有著很深的宗教信仰,並一直保持到他死的那一天,並帶著堅定的,熱情的探索真理的渴望。” 在笛卡爾死於瑞典後,克里斯蒂娜女王放棄了她的王位轉信羅馬天主教(瑞典法律要求統治者是新教教徒)。她一直聯繫的僅有的天主教徒就是笛卡爾,他曾是她的個人家庭教師。
笛卡爾的主要數學成果集中在他的“幾何學”中。當時,代數還是一門新興科學,幾何學的思維還在數學家的頭腦中占有統治地位。在笛卡爾之前,幾何與代數是數學中兩個不同的研究領域。笛卡爾站在方法論的自然哲學的高度,認為希臘人的幾何學過於依賴於圖形,束縛了人的想像力。對於當時流行的代數學,他覺得它完全從屬於法則和公式,不能成為一門改進智力的科學。因此他提出必須把幾何與代數的優點結合起來,建立一種“真正的數學”。笛卡爾的思想核心是:把幾何學的問題歸結成代數形式的問題,用代數學的方法進行計算、證明,從而達到最終解決幾何問題的目的。依照這種思想他創立了“解析幾何學”。
1637年,笛卡爾發表了《幾何學》,創立了平面直角坐標系。他用平面上的一點到兩條固定直線的距離來確定點的位置,用坐標來描述空間上的點。他進而又創立了解析幾何學,解析幾何的出現,改變了自古希臘以來代數和幾何分離的趨向,把相互對立著的“數” 與“形”統一了起來,使幾何曲線與代數方程相結合。笛卡爾的這一天才創見,更為微積分的創立奠定了基礎,從而開拓了變數數學的廣闊領域。最為可貴的是,笛卡爾用運動的觀點,把曲線看成點的運動的軌跡,不僅建立了點與實數的對應關係,而且把形(包括點、線、面)和“數”兩個對立的對象統一起來,建立了曲線和方程的對應關係。這種對應關係的建立,不僅標誌著函式概念的萌芽,而且標明變數進入了數學,使數學在思想方法上發生了偉大的轉折--由常量數學進入變數數學的時期。辨證法進入了數學,有了變數,微分和積分也就立刻成為必要了。笛卡爾的這些成就,為後來牛頓、萊布尼茲發現微積分,為一大批數學家的新發現開闢了道路。
主要成就
概述
法國郵票上的笛卡兒笛卡爾在科學上的貢獻是多方面的。笛卡爾不僅在哲學領域裡開闢了一條新的道路,同時笛卡爾又是一勇於探索的科學家,在物理學、生理學等領域都有值得稱道的創見,特別是在數學上他創立了解析幾何,從而打開了近代數學的大門,在科學史上具有劃時代的意義。
但他的哲學思想和方法論,在其一生活動中則占有更重要的地位。他的哲學思想對後來的哲學和科學的發展,產生了極大的影響。
哲學方面
笛卡爾被廣泛認為是西方現代哲學的奠基人,他第一個創立了一套完整的哲學體系。哲學上,笛卡爾是一個二元論者以及理性主義者。笛卡爾認為,人類應該可以使用數學的方法——也就是理性——來進行哲學思考。他相信,理性比感官的感受更可靠。(他舉出了一個例子:在我們做夢時,我們以為自己身在一個真實的世界中,然而其實這只是一種幻覺而已,參見莊周夢蝶)。他從邏輯學、幾何學和代數學中發現了4條規則:
絕不承認任何事物為真,對於我完全不懷疑的事物才視為真理;
必須將每個問題分成若干個簡單的部分來處理;
思想必須從簡單到複雜;
我們應該時常進行徹底的檢查,確保沒有遺漏任何東西。
1.絕不承認任何事物為真,對於我完全不懷疑的事物才視為真理;
2.必須將每個問題分成若干個簡單的部分來處理;
3.思想必須從簡單到複雜;
4.我們應該時常進行徹底的檢查,確保沒有遺漏任何東西。
笛卡爾將這種方法不僅運用在哲學思考上,還運用於幾何學,並創立了解析幾何。
由此,笛卡爾第一步認為懷疑就是出發點,感官知覺的知識是可以被懷疑的,我們並不能信任我們的感官。笛卡爾強調科學的目的在於造福人類,使人成為自然界的主人和統治者。他反對經院哲學和神學,提出懷疑一切的“系統懷疑的方法”。所以他不會說“我看故我在”、“我聽故我在”。從這裡他悟出一個道理:我們所不能懷疑的是“我們的懷疑”。意指:我們無法去懷疑的,是我們正在“懷疑”這件事時的“懷疑本身”,只有這樣才能肯定我們的“懷疑”是有真實性的,並非虛假的產物。人們覺得理所當然或習以為常的事物,他卻感到疑惑,由此他推出了著名的哲學命題——“我思故我在”(Cogito ergo sum)。強調不能懷疑以思維為其屬性的獨立的精神實體的存在,並論證以廣延為其屬性的獨立物質實體的存在。
他認為上述兩實體都是有限實體,把它們並列起來,這說明了在形上學或本體論上,他是典型的二元論者。笛卡爾將此作為形上學中最基本的出發點,從這裡他得出結論,“我”必定是一個獨立於肉體的、在思維的東西。笛卡爾還試圖從該出發點證明出上帝的存在。笛卡爾認為,我們都具有對完美實體的概念,由於我們不可能從不完美的實體上得到完美的概念,因此必定有一個完美實體——即上帝——的存在來讓我們得到這個概念。即上帝是有限實體的創造者和終極的原因。從所得到的兩點出發,笛卡爾繼續推論出既然完美的事物(神)存在,那么我們可以確定之前的惡魔假設是不能成立的,因為一個完美的事物不可能容許這樣的惡魔欺騙人們,因此藉由不斷的懷疑我們可以確信“這個世界真的存在”,而且經由證明過後的數學邏輯都應該是正確的。現實世界中有諸多可以用理性來察覺的特性,即它們的數學特性(如長、寬、高等),當我們的理智慧型夠清楚地認知一件事物時,那么該事物一定不會是虛幻的,必定是如同我們所認知的那樣。即笛卡爾將幾何學的推理方法和演繹法套用於哲學上,認為清晰明白的概念就是真理,提出“天賦觀念”。
笛卡爾的自然哲學觀同亞里士多德的學說是完全對立的。他認為,所有物質的東西,都是為同一機械規律所支配的機器,甚至人體也是如此。同時他又認為,除了機械的世界外,還有一個精神世界存在,這種二元論的觀點後來成了歐洲人的根本思想方法。
雖然笛卡爾證明了真實世界的存在,他認為宇宙中共有2個不同的實體,既思考(心靈)和外在世界(物質),兩者本體都來自於上帝,而上帝是獨立存在的。他認為,只有人才有靈魂,人是一種二元的存在物,既會思考,也會占空間。而動物只屬於物質世界。
笛卡爾強調思想是不可懷疑的這個出發點,對此後的歐洲哲學產生了重要的影響。我思故我在所產生的爭議在於所謂的上帝存在及動物一元論(黑猩猩、章魚、鸚鵡、海豚、大象等等都證實有智力),而懷疑的主要思想,確實對研究方面很有貢獻。
方法論
笛卡爾本想在一本題為《世界》的書中介紹他的科研成果,但是當該書在1633年快要完稿時,他獲悉義大利教會的權威伽利略有罪,因為他擁護哥白尼的日心說。雖然笛卡爾在荷蘭未受到天主教權威的迫害,但是他還是決定謹慎從事,收書稿進篋入匣,因為在書中他捍衛了哥白尼的學說。但是在1637年他發表了最有名的著作《正確思維和發現科學真理的方法論》,通常簡稱為《方法論》。
笛卡爾在《方法論》中指出,研究問題的方法分四個步驟:
1. 永遠不接受任何我自己不清楚的真理,就是說要儘量避免魯莽和偏見,只能是根據自己的判斷非常清楚和確定,沒有任何值得懷疑的地方的真理。就是說只要沒有經過自己切身體會的問題,不管有什麼權威的結論,都可以懷疑。這就是著名的“懷疑一切”理論。例如亞里士多德曾下結論說,女人比男人少兩顆牙齒。但事實並非如此。
2. 可以將要研究的複雜問題,儘量分解為多個比較簡單的小問題,一個一個地分開解決。
3. 將這些小問題從簡單到複雜排列,先從容易解決的問題著手。
4. 將所有問題解決後,再綜合起來檢驗,看是否完全,是否將問題徹底解決了。
在1960年代以前,西方科學研究的方法,從機械到人體解剖的研究,基本是按照笛卡爾的《談談方法》進行的,對西方近代科學的飛速發展,起了相當大的促進作用。但也有其一定的缺陷,如人體功能,只是各部位機械的綜合,而對其互相之間的作用則研究不透。直到阿波羅1號登月工程的出現,科學家才發現,有的複雜問題無法分解,必須以複雜的方法來對待,因此導致系統工程的出現,方法論的方法才第一次被綜合性的方法所取代。系統工程的出現對許多大規模的西方傳統科學起了相當大的促進作用,如環境科學,氣象學,生物學,人工智慧等等。
“我思故我在”
笛卡爾最著名的思想。出自《方法論》。
字面意思:“當我懷疑一切事物的存在時,我卻不用懷疑我本身的思想,因為此時我唯一可以確定的事就是我自己思想的存在”。笛卡爾認為當“我”在懷疑一切時,卻不能懷疑那個正在懷疑著的“我”的存在。因為這個“懷疑”的本身是一種思想活動。而這個正在思想著、懷疑著的“我”的本質也是一種思想活動。注意這裡的“我”並非指的是身心結合的我,而是指獨立存在的心靈。
深層意思:笛卡爾的哲學命題,採用所謂“懷疑的方法”,是在求證“知識”的來源是否可靠。我們可以懷疑身邊的一切,只有一件事是我們無法懷疑的,那就是:懷疑那個正在懷疑著的“我”的存在。換句話說,我們不能懷疑“我們的懷疑”,因為只有這樣才能肯定我們的“懷疑”。笛卡爾也就是從他的 “我思故我在”來證明“上帝的存在”。因為“我”這個思想的主體不能被“懷疑”,那么就有一個使“我”存在的更高“存在體”。換句話說,因為我存在,所以必須有一個使我存在的“存在者”,而那個使我存在的“存在者”,也必定是使萬物存在的“存在者”。因此,能夠使萬物存在的“存在者”,就必然只有上帝才有可能了。
這句被笛卡爾當作自己的哲學體系的出發點的名言,在17世紀前的東歐和21世紀的中國學界都被認為是極端主觀唯心主義的總代表,而遭到嚴厲的批判。很多人甚至以“存在必先於意識”、“沒有肉體便不能有思想”等為論據,認為笛卡爾是“本末倒置”、“荒唐可笑”。笛卡爾的懷疑不是對某些具體事物、具體原理的懷疑,而是對人類、對世界、對上帝的絕對的懷疑。從這個絕對的懷疑,笛卡爾要引導出不容置疑的哲學的原則。
物理學方面
笛卡爾靠著天才的直覺和嚴密的數學推理,在物理學方面做出了有益的貢獻。
從1619年讀了約翰尼斯·克卜勒的光學著作後,笛卡爾就一直關注著透鏡理論;並從理論和實踐兩方面參與了對光的本質、反射與折射率以及磨製透鏡的研究。他把光的理論視為整個知識體系中最重要的部分。笛卡爾堅信光是“即時”傳播的,他在著作《論人》和《哲學原理》中,完整的闡發了關於光的本性的概念。笛卡爾運用他的坐標幾何學從事光學研究,並在《屈光學》中首次對光的折射定律提出了理論論證。與荷蘭的斯涅耳共同分享發現光的折射定律的榮譽。他認為光是壓力在以太中的傳播,他從光的發射論的觀點出發,用網球打在布面上的模型來計算光在兩種媒質分界面上的反射、折射和全反射,從而首次在假定平行於界面的速度分量不變的條件下導出折射定律;不過他的假定條件是錯誤的,他的推證得出了光由光疏媒質進入光密媒質時速度增大的錯誤結論。他還對人眼進行光學分析,解釋了視力失常的原因是晶狀體變形,設計了矯正視力的透鏡。
他還用光的折射定律解釋彩虹現象,並且通過元素微粒的鏇轉速度來分析顏色。
在力學方面,笛卡爾則發展了伽利略運動相對性的理論。例如在《哲學原理》一書中,舉出在航行中的海船上海員懷表的表輪這一類生動的例子,用以說明運動與靜止需要選擇參考系的道理。
笛卡爾在《哲學原理》第二章中以第一和第二自然定律的形式比較完整地第一次表述了慣性定律:只要物體開始運動,就將繼續以同一速度並沿著同一直線方向運動,直到遇到某種外來原因造成的阻礙或偏離為止。這裡他強調了伽利略沒有明確表述的慣性運動的直線性。
在這一章中,他還第一次明確地提出了動量守恆定律:物質和運動的總量永遠保持不變。為能量守恆定律奠定了基礎。
笛卡爾發現了動量守恆原理的原始形式(笛卡爾所定義的動量是一絕對值,不是向量,因此他的動量守恆原理後來也被證明是錯誤的)。
笛卡爾對碰撞和離心力等問題曾作過初步研究,給後來克里斯蒂安·惠更斯的成功創造了條件。
天文學方面
阿爾巴尼亞郵票上的笛卡兒笛卡爾把他的機械論觀點套用到天體,發展了宇宙演化論,形成了他關於宇宙發生與構造的學說。他認為,從發展的觀點來看而不只是從已有的形態來觀察,對事物更易於理解。他創立了漩渦說。他認為太陽的周圍有巨大的漩渦,恆星。
他認為天體的運動來源於慣性和某種宇宙物質鏇渦對天體的壓力,在各種大小不同的鏇渦的中心必有某一天體,以這種假說來解釋天體間的相互作用。笛卡爾的太陽起源的以太鏇渦模型第一次依靠力學而不是神學,解釋了天體、太陽、行星、衛星、彗星等的形成過程,比康德的星雲說早一個世紀,是17世紀中最有權威的宇宙論。
笛卡爾的天體演化說、鏇渦模型和近距作用觀點,正如他的整個思想體系一樣,一方面以豐富的物理思想和嚴密的科學方法為特色,起著反對經院哲學、啟發科學思維、推動當時自然科學前進的作用,對許多自然科學家的思想產生深遠的影響;而另一方面又經常停留在直觀和定性階段,不是從定量的實驗事實出發,因而一些具體結論往往有很多缺陷,成為後來牛頓物理學的主要對立面,導致了廣泛的爭論。
他認為太陽的周圍有巨大的漩渦,帶動著行星不斷運轉。物質的質點處於統一的漩渦之中,在運動中分化出土、空氣和火三種元素,土形成行星,火則形成太陽和恆星。笛卡爾的這一太陽起源的鏇渦說,
他還發展了宇宙演化論、漩渦說等理論學說,雖然具體理論有許多缺陷,但依然對以後的自然科學家產生了影響。
數學方面
笛卡爾對數學最重要的貢獻是創立了解析幾何。在笛卡爾時代,代數還是一個比較新的學科,幾何學的思維還在數學家的頭腦中占有統治地位。笛卡爾致力於代數和幾何聯繫起來的研究,並成功地將當時完全分開的代數和幾何學聯繫到了一起。於1637年,在創立了坐標系後,成功地創立了解析幾何學。他的這一成就為微積分的創立奠定了基礎,而微積分又是現代數學的重要基石。解析幾何直到現在仍是重要的數學方法之一。
笛卡爾不僅提出了解析幾何學的主要思想方法,還指明了其發展方向。在他的著作《幾何》中,笛卡爾將邏輯,幾何,代數方法結合起來,通過討論作圖問題,勾勒出解析幾何的新方法,從此,數和形就走到了一起,數軸是數和形的第一次接觸。並向世人證明,幾何問題可以歸結成代數問題,也可以通過代數轉換來發現、證明幾何性質。笛卡爾引入了坐標系以及線段的運算概念。他創新地將幾何圖形‘轉譯’代數方程式,從而將幾何問題以代數方法求解,這就是今日的“解析幾何”或稱“坐標幾何”。
解析幾何的創立是數學史上一次劃時代的轉折。而平面直角坐標系的建立正是解析幾何得以創立的基礎。直角坐標系的創建,在代數和幾何上架起了一座橋樑,它使幾何概念可以用代數形式來表示,幾何圖形也可以用代數形式來表示,於是代數和幾何就這樣合為一家人了。
此外,現在使用的許多數學符號都是笛卡爾最先使用的,這包括了已知數a, b, c以及未知數x, y, z等,還有指數的表示方法。他還發現了凸多面體邊、頂點、面之間的關係,後人稱為歐拉-笛卡爾公式。還有微積分中常見的笛卡爾葉形線也是他發現的。
笛卡爾坐標系
在數學裡, 笛卡爾坐標系(Cartesian坐標系),也稱 直角坐標系,是一種正交坐標系。二維的直角坐標系是由兩條相互垂直、0 點重合的數軸構成的。在平面內,任何一點的坐標 是根據數軸上 對應的點的坐標設定的。在平面內,任何一點與坐標的對應關係,類似於數軸上點與坐標的對應關係。
採用直角坐標,幾何形狀可以用代數公式明確的表達出來。幾何形狀的每一個點的直角坐標必須遵守這代數公式。
笛卡爾坐標系是由法國數學家勒內·笛卡爾創建的。1637年,笛卡爾發表了巨作《方法論》。這本專門研究與討論西方治學方法的書,提供了許多正確的見解與良好的建議,對於後來的西方學術發展,有很大的貢獻。
為了顯示新方法的優點與果效,以及對他個人在科學研究方面的幫助,在《方法論》的附錄中,他增添了另外一本書《幾何》。有關笛卡爾坐標系的研究,就是出現於《幾何》這本書內。
笛卡爾在坐標系這方面的研究結合了代數與歐幾里得幾何,對於後來解析幾何、微積分、與地圖學的建樹,具有關鍵的開導力。
軼事:蜘蛛織網和平面直角坐標系的創立
據說有一天,笛卡爾生病臥床,病情很重,儘管如此他還反覆思考一個問題:幾何圖形是直觀的,而代數方程是比較抽象的,能不能把幾何圖形和代數方程結合起來,也就是說能不能用幾何圖形來表示方程呢?要想達到此目的,關鍵是如何把組成幾何圖形的點和滿足方程的每一組“數”掛上鉤,他苦苦思索,拚命琢磨,通過什麼樣的方法,才能把“點”和“數”聯繫起來。突然,他看見屋頂角上的一隻蜘蛛,拉著絲垂了下來。一會功夫,蜘蛛又順這絲爬上去,在上邊左右拉絲。蜘蛛的“表演”使笛卡爾的思路豁然開朗。他想,可以把蜘蛛看作一個點。他在屋子裡可以上,下,左,右運動,能不能把蜘蛛的每一個位置用一組數確定下來呢?他又想,屋子裡相鄰的兩面牆與地面交出了三條線,如果把地面上的牆角作為起點,把交出來的三條線作為三根數軸,那么空間中任意一點的位置就可以在這三根數軸上找到有順序的三個數。反過來,任意給一組三個有順序的數也可以在空間中找到一點P與之對應,同樣道理,用一組數(X,Y)可以表示平面上的一個點,平面上的一個點也可以用一組兩個有順序的數來表示,這就是坐標系的雛形。
笛卡爾符號法則
笛卡爾符號法則首先由笛卡爾在他的作品《 La Géométrie》中描述,是一個用於確定多項式的正根或負根的個數的方法。
如果把一元實係數多項式按降冪方式排列,則多項式的正根的個數要么等於相鄰的非零係數的符號的變化次數,要么比它小2的倍數。如5,3,1或4,2,0。而負根的個數則是把所有奇數次項的係數變號以後,所得到的多項式的符號的變化次數,或者比它小2的倍數。
特殊情況:注意如果知道了多項式只有實數根,則利用這個方法可以完全確定正根的個數。由於零根的重複度很容易計算,因此也可以求出負根的個數。於是所有根的符號都可以確定。
歐拉-笛卡爾公式
歐拉-笛卡爾公式,是幾何學中的一個公式。
該公式的內容為:在任意凸多面體,設 V為頂點數, E為棱數, F是面數,則 V− E+ F=2。
該公式最早由法國數學家笛卡爾於1635年左右證明,但不為人知。後瑞士數學家萊昂哈德·歐拉於1750年獨立證明了這個公式。1860年,笛卡爾的工作被發現,此後該公式遂被稱為歐拉-笛卡爾公式。
笛卡爾葉形線
笛卡爾葉形線是一個代數曲線,首先由笛卡爾在 1638年提出。
笛卡爾[近代法國哲學家、物理學家、數學家]笛卡爾葉形線的隱式方程為
笛卡爾[近代法國哲學家、物理學家、數學家]極坐標中方程分別為
這個名字來自拉丁文的 folium,意思是 "leaf"(葉子)。
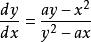
笛卡爾[近代法國哲學家、物理學家、數學家]曲線的特徵:利用隱函式的求導法則,我們可以求出y':
笛卡爾[近代法國哲學家、物理學家、數學家]
笛卡爾[近代法國哲學家、物理學家、數學家]利用直線的點斜式方程,我們可以求出點( )處的切線方程:
笛卡爾[近代法國哲學家、物理學家、數學家]
笛卡爾[近代法國哲學家、物理學家、數學家]水平和豎直切線:當 時,笛卡爾葉形線的切線是水平的。所以:
笛卡爾[近代法國哲學家、物理學家、數學家]
笛卡爾[近代法國哲學家、物理學家、數學家]當 時,笛卡爾葉形線的切線是豎直的。所以:
笛卡爾[近代法國哲學家、物理學家、數學家]
笛卡爾[近代法國哲學家、物理學家、數學家]這可以通過曲線的對稱來解釋。我們可以看到,曲線有兩條水平切線和兩條豎直切線。笛卡爾葉形線關於y=x對稱,所以如果水平切線有坐標( )的話,則一定有一個對應的豎直切線,坐標為( )。
漸近線:曲線有一條漸近線:x+y+a=0
這個漸近線的斜率是-1,x截矩和y截矩都是-a。
笛卡爾與克里斯汀心形線(即心臟線)的故事
心臟線
克里斯汀心形線心臟線是有一個尖點的外擺線。也就是說,一個圓沿著另一個半徑相同的圓滾動時,圓上一點的軌跡就是心臟線。
笛卡爾[近代法國哲學家、物理學家、數學家]心臟線是外擺線的一種,其 n為2。它亦可以極坐標的形式表示: r= 1 + cos θ。這樣的心臟線的周界為8,圍得的面積為 。
心臟線亦為蚶線的一種。
在曼德博集合正中間的圖形便是一個心臟線。
心臟線的英文名稱“Cardioid”是 de Castillon 在1741年的《Philosophical Transactions of the Royal Society》發表的;意為“像心臟的”。
在笛卡爾坐標系中:心臟線的參數方程為:
笛卡爾[近代法國哲學家、物理學家、數學家]其中 r是圓的半徑。曲線的尖點位於( r,0)
在極坐標系中的方程為:
ρ(θ)=2r(1-cosθ)
笛卡爾[近代法國哲學家、物理學家、數學家]面積:
四個朝向不同的心臟線對於其在極坐標中的方程有待考察,此處僅供參考。
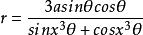
《數學的故事》裡面說到了數學家笛卡爾的愛情故事。笛卡爾於1596年出生在法國,歐洲大陸爆發黑死病時他流浪到瑞典,認識了瑞典一個小公國18歲的小公主克里斯蒂娜(Kristina),後成為她的數學老師,日日相處使他們彼此產生愛慕之心,公主的父親國王知道了後勃然大怒,下令將笛卡爾處死,後因女兒求情將其流放回法國,克里斯汀公主也被父親軟禁起來。笛卡爾回法國後不久便染上黑死病,他日日給公主寫信,因被國王攔截,克里斯汀一直沒收到笛卡爾的信。笛卡爾在給克里斯汀寄出第十三封信後就氣絕身亡了,這第十三封信內容只有短短的一個公式:r=a(1-sinθ)。國王看不懂,覺得他們倆之間並不是總是說情話的,大發慈悲就把這封信交給一直悶悶不樂的克里斯汀,公主看到後,立即明了戀人的意圖,她馬上著手把方程的圖形畫出來,看到圖形,她開心極了,她知道戀人仍然愛著她,原來方程的圖形是一顆心的形狀。公主在紙上建立了極坐標系,用筆在上面描下方程的點,看到了方程所表示的心臟線,理解了笛卡爾對自己的深深愛意。這也就是著名的“心形線”。
國王死後,克里斯蒂娜登基,立即派人在歐洲四處尋找心上人,無奈斯人已故,先她走一步了,徒留她孤零零在人間……
據說這封享譽世界的另類情書還保存在歐洲笛卡爾的紀念館裡。
在歷史上,笛卡爾和克里斯蒂娜的確有過交情。但笛卡爾是1649年10月4日應克里斯蒂娜邀請才來到瑞典,而當時克里斯蒂娜已成為了瑞典女王。笛卡爾與克里斯蒂娜談論的主要是哲學問題而不是數學。有資料記載,由於克里斯蒂娜女王時間安排很緊,笛卡爾只能在早晨五點與她探討哲學。笛卡爾真正的死因是因天氣寒冷加上過度操勞患上的肺炎,而不是黑死病 。
解析幾何
笛卡爾幾何文藝復興使歐洲學者繼承了古希臘的幾何學,也接受了東方傳入的代數學。利學技術的發展,使得用數學方法描述運動成為人們關心的中心問題。笛卡爾分析了幾何學與代數學的優缺點,表示要去“尋求另外一種包含這兩門科學的好處,而沒有它們的缺點的方法”。
在《幾何學》(是《方法論》中的一部分)卷一中,他用平面上的一點到兩條固定直線的距離來確定點的距離,用坐標來描述空間上的點。他進而創立了解析幾何學,表明了幾何問題不僅可以歸結成為代數形式,而且可以通過代數變換來實現發現幾何性質,證明幾何性質。
笛卡爾把幾何問題化成代數問題,提出了幾何問題的統一作圖法。為此,他引入了單位線段,以及線段的加、減、乘、除、開方等概念,從而把線段與數量聯繫起來,通過線段之間的關係,“找出兩種方式表達同一個量,這將構成一個方程”,然後根據方程的解所表示的線段間的關係作圖。
在卷二中,笛卡爾用這種新方法解決帕普斯問題時,在平面上以一條直線為基線,為它規定一個起點,又選定與之相交的另一條直線,它們分別相當於x軸、原點、y軸,構成一個斜坐標系。那么該平面上任一點的位置都可以用(x,y)惟一地確定。帕普斯問題就化成了一個含兩個未知數的二次不定方程。笛卡爾指出,方程的次數與坐標系的選擇無關,因此可以根據方程的次數將曲線分類。
《幾何學》一書提出了解析幾何學的主要思想和方法,標誌著解析幾何學的誕生。此後,人類進入變數數學階段。
在卷三中,笛卡爾指出,方程可能有和它的次數一樣多的根,還提出了著名的笛卡爾符號法則:方程正根的最多個數等於其係數變號的次數;其負根的最多個數(他稱為假根)等於符號不變的次數。笛卡爾還改進了韋達創造的符號系統,用a,b,c,… 表示已知量,用x,y,z,…表示未知量。
解析幾何的出現,改變了自古希臘以來代數和幾何分離的趨向,把相互對立著的“數”與“形”統一了起來,使幾何曲線與代數方程相結合。笛卡爾的這一天才創見,更為微積分的創立奠定了基礎,從而開拓了變數數學的廣闊領域。
正如恩格斯所說:“數學中的轉折點是笛卡爾的變數。有了變數,運動進入了數學,有了變數,辯證法進入了數學,有了變數,微分和積分也就立刻成為必要了。”
心理學方面
笛卡爾在心理學上的觀點和重大發現,對後來心理學頗有影響。
他是近代二元論和唯心主義理論著名的代表。他的反射和反射弧的重大發現,為“動物是機器”的論斷提供了重要依據。並提出,反應----刺激的假設。
但是笛卡爾的反射概念是機械性的,他強調人和動物的區別,動物沒有心靈,人是有心靈的,這樣的推斷是二元論的典型表現。另外,心神交感論也是笛卡爾在身心關係上二元論的又一典型表現,他認為,人的肉體是由物質實體構成的,人的心靈是由精神實體構成的。心靈和人體即可以相互影響、互為因果、相互作用。
他認為人的原始情緒有六種:驚奇、愛悅、憎惡、欲望、歡樂和悲哀,其他的情緒都是這六種原始情緒的分支,或者組合。
笛卡爾的二元論心理學思想雖然在理論上是錯誤的,但是在當時社會背景下,是非常具有推動和進步作用的,他利用二元論擺脫了神學對科學的絕對控制,將人們的思想引導至理性思維和具體研究上,所以,他對心理學的貢獻是不可忽視的。
對本能理論的貢獻。自作家Thomas Aquinas(1225-1274)提出本能的概念,並相信動物具有本能,但是人類不具有本能。他主張,人類具有能雙重的本性--物質的和非物質的,或身體的和精神的(智力的)--但是支配人類的物質本性的規律與支配動物的規律不同,這種區別的原因來自於“人是上帝創造的特殊產物”的觀點。許多早起的科學家為了動物動機和人類動機之間意義深遠的相似性而爭論。表面上看,人類和動物都被相同的規律操縱著,但是,又似乎存在著差別。笛卡爾提出了能調和這兩種觀點的解釋:在意志行動水平之下的身體行為,能夠被機械地解釋(本能),但是與諸如道德品行這樣的事情有關的行為就在意志的控制之下,笛卡爾主張,身體和精神(意志、靈魂)相互作用,作用發生的位置就在松果腺。某種身體行為,例如性行為,就發生在精神的控制之下而不是一些機械的簡單產物。這種雙重的觀點能夠同時呼應科學家和天主教會的觀點。在當時具有積極意義 。
人物軼事
笛卡爾死後墳墓遭盜墓賊挖掘,其頭骨幾經易手現存於法國巴黎夏樂宮(Palais de Chaillot)人類博物館(Musée de l'Homme)。
笛卡爾堅決否認他與德國薔薇十字會之間的關係,他所留下的相關檔案中卻有許多巧合,他不承認可能是因為當時的教會。
笛卡爾將早期在整合幾何與代數的研究與貝克曼一同分享,且曾說:“如果有機會,你不嫌棄用到我的研究或想法時,你大可表示那是你的想法。”這只是他過於客氣與謙虛的態度罷了,但貝克曼卻真的當作是自己的功勞。這使笛卡爾備受侮辱,所以他譴責貝克曼的“愚蠢和不學無術”。
社會評價
笛卡爾在哲學上是二元論者,並把上帝看作造物主。但笛卡爾在自然科學範圍內卻是一個機械論者,這在當時是有進步意義的。
笛卡爾是歐洲近代哲學的奠基人之一,黑格爾稱他為“近代哲學之父”。他自成體系,熔唯物主義與唯心主義於一爐,在哲學史上產生了深遠的影響。
笛卡爾的方法論對於後來物理學的發展有重要的影響。他在古代演繹方法的基礎上創立了一種以數學為基礎的演繹法:以唯理論為根據,從自明的直觀公理出發,運用數學的邏輯演繹,推出結論。這種方法和培根所提倡的實驗歸納法結合起來,經過惠更斯和牛頓等人的綜合運用,成為物理學特別是理論物理學的重要方法。作為他的普遍方法的一個最成功的例子,是笛卡爾運用代數的方法的來解決幾何問題,確立了坐標幾何學即解析幾何學的基礎。
笛卡爾的方法論中還有兩點值得注意。
第一,他善於運用直觀“模型”來說明物理現象。例如利用“網球”模型說明光的折射;用“盲人的手杖”來形象地比喻光信息沿物質作瞬時傳輸;用盛水的玻璃球來模擬並成功地解釋了虹霓現象等。
第二,他提倡運用假設和假說的方法,如宇宙結構論中的鏇渦說。此外他還提出“普遍懷疑”原則。這一原則在當時的歷史條件下對於反對教會統治、反對崇尚權威、提倡理性、提倡科學起過很大作用 。
笛卡爾堪稱17世紀及其後的歐洲哲學界和科學界最有影響的巨匠之一,被譽為“近代科學的始祖”。
![笛卡爾[近代法國哲學家、物理學家、數學家] 笛卡爾[近代法國哲學家、物理學家、數學家]](/img/5/1f1/nBnauM3X4UTMxkjMzkDN5EDN0UTMyITNykTO0EDMwAjMwUzL5QzL4czLt92YucmbvRWdo5Cd0FmLyE2LvoDc0RHa.jpg)
