定理定義
積分第一中值定理
積分第一中值定理
積分第一中值定理
積分第一中值定理
積分第一中值定理
積分第一中值定理
積分第一中值定理
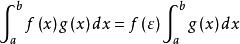
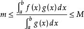
積分第一中值定理如果函式 在閉區間 上連續, 在 上不變號,並且 在閉區間 上是可積的,則在 上至少存在一個點 ,使下式成立:
積分第一中值定理定理證明
積分第一中值定理
積分第一中值定理
積分第一中值定理
積分第一中值定理
積分第一中值定理
積分第一中值定理
積分第一中值定理
積分第一中值定理
積分第一中值定理
積分第一中值定理
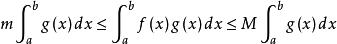
積分第一中值定理由於 在 上不變號,不妨設 。並且由 在 上的連續性可知, 在 上存在最大值 和最小值 ,使得 ,將不等式兩邊同時乘以 ,得到:
積分第一中值定理
積分第一中值定理,對上式在上 取積分得
積分第一中值定理
積分第一中值定理
積分第一中值定理若 ,上式等號成立, ,定理顯然成立。
積分第一中值定理
積分第一中值定理若 ,不等式兩邊同除以 ,有
積分第一中值定理
積分第一中值定理
積分第一中值定理
積分第一中值定理由介值定理,存在 ,使得 ,即。定理得證。
套用實例
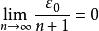
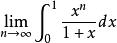
積分第一中值定理求極限。
積分第一中值定理
積分第一中值定理
積分第一中值定理
積分第一中值定理
積分第一中值定理
積分第一中值定理解:取為,,,則,,並有
積分第一中值定理
積分第一中值定理由於有界,因此
積分第一中值定理即原式的極限為0。

