積分梳狀濾波器原理
積分梳狀濾波器(CIC)結構簡單高效,不需要進行乘法運算,可以對高速數據流進行低通濾波運算。下面以CIC抽取濾波器為例進行分析。設抽取因子為D,則單級濾波器的衝激回響具有如下形式:
積分梳狀濾波器(2.100)
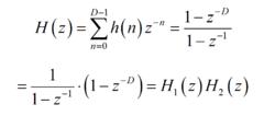
其傳遞函式為:
積分梳狀濾波器(2.101)
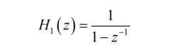
式中,
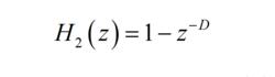
積分梳狀濾波器(2.102)
積分梳狀濾波器(2.103)
由式(2.101)可以看出,CIC濾波器由積分單元H(z)和梳狀單元H(z)級聯組成。單級CIC抽取濾波器如圖1所示。
積分梳狀濾波器圖1單級CIC抽取濾波器
利用Noble恆等式,可以得到其等效結構如圖2所示。
積分梳狀濾波器圖2單級CIC抽取濾波器等效結構
該等效結構使梳狀單元工作在較低的採樣率下,因此是實際採用的實現形式。
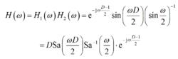
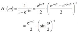
令z=e ,分別計算積分單元和梳狀單元的頻率回響如下:
積分梳狀濾波器(2.104)
積分梳狀濾波器(2.105)
可以看出,梳狀單元的幅頻特性為H(w)=2|sin(wD/2)|,具有梳齒的形狀,這也是其名稱的來由。濾波器總的頻率回響為:
積分梳狀濾波器(2.106)
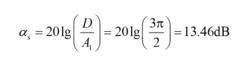
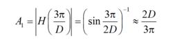
CIC濾波器並非理想低通濾波器,其頻率回響有旁瓣電平的存在。單級CIC濾波器的旁瓣電平較大。例如較大時第一旁瓣的電平為:
積分梳狀濾波器(2.107)
與D比較:
積分梳狀濾波器(2.108)
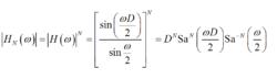
為了降低旁瓣電平,可以採用多級CIC濾波器級聯的辦法來解決。N級級聯的CIC濾波器幅頻回響為:
積分梳狀濾波器(2.109)
主瓣與旁瓣電平相比,
積分梳狀濾波器(2.110)
N越大,旁瓣抑制得越好。但是,增大後,通帶內的平坦度會變差,因此也不宜太多,一般以5級為限。級聯CIC濾波器的實現框圖如圖3所示。
積分梳狀濾波器圖3級聯CIC抽取濾波器
同樣,可以利用CIC濾波器實現內插過程,級聯結構如圖4所示。
積分梳狀濾波器圖4級聯CIC內插濾波器
