定義
CIC濾波器的發明者是 Eugene B. Hogenauer,這是一類使用在不同頻率的數位訊號處理中的濾波器,在內插和抽取中使用廣泛。與大多數FIR濾波器不同的是,它有一個內插或者抽取的結構。
下圖展示了CIC濾波器的結構:
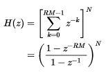
CIC濾波器對於CIC濾波器的傳遞函式,可以用下圖中的表達式表示:
CIC濾波器下圖展示用matlab中fdatool工具,進行CIC濾波器設計得到的回響曲線,以及相應的參數:
CIC濾波器其中R表示升採樣或降採樣的倍數,
M表示每個微分環節延遲的個數,通常為1,有時是2。
N表示積分/梳狀器的個數。
性質
線性相位回響
僅需延遲,加減法便可實現,不需要乘法,在FPGA等平台上易於實現。
1.線性相位回響
2.僅需延遲,加減法便可實現,不需要乘法,在FPGA等平台上易於實現。
平滑作用
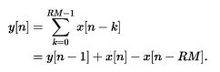
CIC濾波器是滑動平均濾波器的一種有效實現。考慮滑動平均濾波器的一般實現形式,將新的x[n]加到y[n-1]上,並減去上一時間的採樣相加之和。可以用下圖來表示:
CIC濾波器上圖中的第二個等式與梳狀(c[n]=x[n]-x[n-RM])後接積分器(y[n]=y[n-1]+c[n])對應。常見的CIC濾波器都是將N個相同的梳狀和積分器級聯,並重新排列順序,梳狀和積分器各自放到一起,再排出先後順序即可。可以這樣重新排列是因為兩種結構都是線性時不變的。
由於中間過程的累加,所以使用的數據位長可能需要延長,延長的位數滿足使可能出現的最大位長也不溢出。使用位長的計算公式如下:L=l+N*log2(RM)。以輸入位長為1為例,M=1,降採樣倍數R為16,積分器級數N=3,則應該至少使用1+3*log2(16)=13位的數據,以避免溢出。
相似產品比較
CIC濾波器被套用在變頻過程處理中,FIR濾波器有著多種套用,可以套用在不同採樣頻率的升採樣,降採樣中。CIC濾波器有著低通濾波器的特性,其他的FIR可以呈現低通,高通,帶通等多種特性。和大多數FIR不同的是,CIC的實現只需要用到加減,不需要用到乘法。CIC濾波器會有特定頻率的衰減,其他的FIR濾波器可以在任意頻率衰減。
CIC濾波器比大多數FIR濾波器更加經濟,但也有其不足。在需要少量升/降採樣的場合中,FIR濾波器有其優點,但是如果採樣頻率的變化較大(如10倍以上),實現一個抗混疊的濾波器需要很高的代價,此時CIC 便體現出其優越性。而且如果升/降採樣的倍數發生變化,在數據位長足夠的前提下,僅僅改變升/降採樣環節的倍數即可。
FIR濾波器可以使用定點/浮點數,CIC濾波器只能使用定點數,因為作為遞歸實現的結構,非常依賴梳狀和積分器的零極點相消。CIC濾波器所能提供的濾波器回響形狀非常有限。通過增加極點,可以得到更多的阻帶。但是這樣做也會導致梳狀器和積分器中數據位長的增加。由於CIC濾波器的設計自由度低,實際中很少單獨使用,如果後接一個FIR或IIR校正相位,就會實用得多。

