簡介
移動平均擺動量(Moving Average Oscillator,MAOSC)是二條不同時間周期的移動平均線的差值或比值,反映的是股價的擺動程度。
移動平均擺動量指標是短線進出指標。與乖離率(BIAS)、擺動量指標(OSC)有異曲同工之處。
指標構成
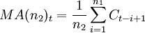
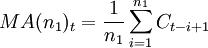
t——當日;
n——時間長度;
Ci——第i日的收盤價。
計算公式:
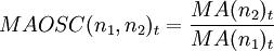
MAOSC(n1,n2)t = MA(n1)t − MA(n2)t
或
其中:
(最近n1日內收盤價的移動平均值)
(最近n2日內收盤價的移動平均值)
注:
1、一般取n1 = 3,6;n2 = 6,12。
2、如果取n1 = 3、n2 = 6,移動平均擺動量就變成了三減六日乖離率;如果取n1 = 6、n2 = 12,移動平均擺動量就成了十二日乖離率;如果取n1 = 1,移動平均擺動量就變成擺動量。
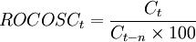
3、擺動量的另外二種分類及計算公式:
動量擺動MOSC:MOSCt = Ct − Ct − n
變動速率擺動ROCOSCt:
研判法則
1、股價創新低,移動平均擺動量未同時創新低,稱為底背離,是買入信號。
2、移動平均擺動量創近期最低點時,是買入信號。
3、股價創新高,移動平均擺動量未同時創新高,稱為頂背離,是賣出信號。
4、移動平均擺動量創近期最高點時,是賣出信號。
注意事項:移動平均擺動指標有時會有極高或極低位鈍化,此時應結合其他指標綜合判斷。
