歷史
真空超大統一場理論屬物理學領域的理論,其創立者是陳蜀喬。最初於2002年3月出版的學術專著《超大統一場流形理論》建立了理論的雛形,把真空視為一種“場流形”,基本構建了物理框架,但數學體系尚未建立。在2010年7月出版的學術專著《引力場及量子場的真空動力學圖像》構建了獨立的數學體系和物理學體系,形成了一個完整理論體系。該理論逐漸受到關注,理論還在不斷發展和完善。
《超大統一場流形理論》
《引力場及量子場的真空動力學圖像》理論特點
該理論的是基於真空不空而建立的超大統一場理論,屬規範場理論範疇。認為四種力場統一的物理學機理源自於四種力場都是真空場不同形式的形變所導致的,從真空應變的角度實現超大統一。認為真空包含真空物質,形變的真空物質被定義為真空場,實現超大統一的物理學機理源自於四種力場都是真空場不同形式的形變所導致的,三維空間是真空應變產生的效應;時間時真空物質波動產生的效應,是運動自由度,否認時間具有幾何性質,認為萬事萬物皆以波的形式存在。採用應變理論和規範場理論來構建該理論的數學體系。該理論從物質基本性質出發建立的真空基本假設,並以此作為整個理論出發點。
該理論引入測量協變原理,導出了光速不變原理並解釋狹義相對論原理。廣義相對論的時空彎曲被理解為是大範圍的真空場形變,時間的快慢取決於波在真空傳播的效果。認為光子為球狀縱波,普郎克常數h是光子的真空總形變數,光子能量就是光子內部單位時間的真空形變數P=h/Ф,光子動量就是光子在內部單位長度的真空形變數P=h/Ф,解釋了光子波粒二象性;費密子是真空的自旋波,真空極其緻密,當真空受到激發,某一場基本單元被激發出來,就會形成一個由外向空穴中心傳播的漩渦波,這就是電子e自旋波;真空多出一場基本單元,就會形成一個由中心向外傳播的波,這就是反電子e的自旋波。光子和電子的局域劇烈形變造成真空破裂,產生纖維化結構,纖維化場就是電磁場,據此可估算出電磁耦合常數。認為弱作用是不穩定高能態費米子內部發生衰變分離,高能態粒子中心點分裂,而形成多個較穩定的低能態費米子。當中心點分裂結束,弱作用也就結束了,所以弱相互作用的力程極短。由於空間是真空應產生的效應,空間會發生分裂而形成半向空間,由於弱作用發生在單一空間,這就造成弱作用中宇稱不守恆。電子內部真空場的塑性形變導致維度分裂成三個帶弦的夸克,而構成強子,弦的相互糾纏構成強作用,可估算出強耦合常數。電子和反電子內部結構存在差異使得其形成質子和反質子的存在巨大差異,解釋了為什麼反物質如此稀少。認為費米子慣性質量的是由於費米子中心達到形變極限,使得費米子能以任意小於光速的速度傳播,粒子內部場形變率決定了粒子傳播性能好壞,這種巨觀的可觀測傳播效應為費米子慣性質量。引力質量則是費密子波周圍真空物質的微弱應變所產生的效應。
理論概述
1).四種力場
引力:引力場就是我們所熟知的重力場。引力場是唯一一種對於任何物體都起作用的力場,它源於物體的質量, 質量愈大, 引力就愈大。引力為長程力。物體之間的引力由牛頓的萬有引力定律描述。隨著距離的增大, 引力按平方反比律逐漸減弱。引力很弱,電子和質子之間的引力只有它們之間靜電力的 10的39次方分之一, 因而引力在微觀物理學中作用很小。描述引力場的理論除了牛頓萬有引力定律還有現代的廣義相對論。
電磁力 :電磁場源於是電荷。電場和磁場是最早被統一的,它對電中性的粒子不起作用。在引力場中,時鐘會變慢, 但在電磁場中時鐘不會變慢。靜電力和萬有引力的公式在形式上是一致的,都是按距離的平方反比遞減的長程力。電磁力比引力強10億億億億倍。同時電荷有正反兩種,因此在一個大的範圍內物體總的電磁力有可能相消,這也就是為什麼在宇宙範圍內引力更為重要的原因。描述電磁場的理論主要有麥克斯韋方程和量子電動力學。量子電動力學是上世紀初到上世紀中期, 由很多位物理學家在粒子物理學實驗基礎上共同努力建立的理論。它精確描述基本粒子之間電磁相互作用的理論。
強作用力:強作用力存在於原子核內。每一個質子和中子都由三個夸克構成,把三個夸克拉到一起的力也是強作用力。所以強作用力是夸克之間的基本相互作用力。強作用力比電磁力強100倍到1000倍。它的力程很短在10的-13次方厘米範圍以內,超過這個範圍, 強力迅速減弱。它與電磁力和引力的性質差異極大。描述強作用的理論叫量子色動力學。
弱作用力:弱力主要的效應是改變粒子,粒子的質量會發生改變。例如中子衰變就是弱力作用;弱力導致中子n衰變成比它略輕的質子p、還有電子e和ν反中微子。弱力的強度比電磁力小得多, 只有電磁場強度的千分之一。弱力作用範圍很小,目前認為<10的-16次方厘米。描述弱作用力的理論是量子味動力學。
基本相互作用(fundamental interaction)強度
| 名稱 | 相對強度(以強相互作用為準) | 性質(對距離的作用大小) | 作用的範圍(米) | 傳遞相互作用的 中間玻色子 |
| 強相互作用 | 1 | 1/r | 10 | 膠子 |
| 電磁相互作用 | 1/137 | 1/r | 無限大 | 光子 |
| 弱相互作用 | 10 | 1/r | 10 | W及Z玻色子(W,Z) |
| 引力相互作用 | 10 | 1/r | 無限大 | 引力子 |
大統一理論認為:強相互作用、弱相互作用和電磁相互作用可以統一成一種相互作用,目前統一弱相互作用和電磁相互作用的電弱統一理論已經獲得實驗證實。
2)對真空性質的基本假設構成該理論的出發點
每一種物理學理論對真空性質都有不同的理解,對於真空性質的理解和認識是極其重要的,因為真空性質是構建理論物理的基石。任何一個物理學理論體系總是從真空性質出發來建立理論體系,對真空性質的認識如同建立高層建築的地基一樣,什麼樣的地基就決定了什麼樣的建築。
物理實驗
在探測基本粒子的內部結構時,是藉助於高能粒子對撞機讓兩個基本粒子互相撞擊,把粒子擊碎後,對碎片進行分析。但是兩個高能粒子相撞,得到的不是碎片,而是更多的基本粒子。例如:在高能粒子對撞機中,一個正電子和一個反電子相撞,會發生湮滅而變成一對光子,實物粒子消失於真空;在能量很高的時候,則會產生大量的基本粒子。這表明真空不空,粒子可以從真空中產生,也可以消失於真空。
真空場理論真空
和其他理論不同,真空統一場理論認為不能先驗地假定真空的性質。根據實驗對真空的認識只能得到這樣的結論:真空不空;真空在未受到擾動時沒有可觀測性;受激發的真空會產生粒子。由於對真空內部結構無法獲得實驗的直接支持,因此在沒有獲得實驗支持前提下預先認定真空 “是一片不停波動的能量之海”僅只是一種猜測, 空認識的困難在於:平直真空的性質對於實驗而言,沒有可觀測性。這類似於一個先天的盲人想要想正確地理解顏色的概念一樣。具體困難如下
•真空不空,存在物質,這種物質應該是一種最為原始的物質,由於沒有可觀測性,在該物質上無法定義測度。即平直真空上既不能定義時間,也無法定義空間,時空只能定義在形變的真空場之上。
•真空不應該具有動力學特性,例如:質量、慣性等;動力學特性來自於對巨觀物體的觀測,而真空無可觀測性,因而,用巨觀物理學的性質解釋更基本的性質。
•真空也不應該具有任何基本粒子的性質。例如:有電荷,自旋等性質。真空具有粒子性及動力學性質會使得我們的理論會陷入用粒子解釋粒子的邏輯循環。
•真空物質的存在不可避免引入了一個絕對參照系,而絕對參照系的存在會使回到牛頓經典力學後期以太存在的時代。
如何更客觀的認識真空呢?粒子物理實驗證實粒子可以消失於真空也可以從真空中產生。如果真空的性質和現有物理學沒有任何相關性,那么很難想像今天的物理學從何而來,物理學不可能無中生有。因而可以謹慎推論真空應該存在某種和巨觀物理性質相似的更基本的性質。我們把真空的這種更基本的性質作為真空場理論的基本假設,並以此為出發點可以為客觀的加深對真空的認識。
是什麼原因使得真空中的這些物質能夠產生出千變萬化,紛繁複雜的大千世呢?超大真空統一場理論的基本考慮是:真空物質是可以形變的,這是真空物質應該具有的最基本的性質,否則物理學無從談起。由於真空物質統稱為真空場,該理論的所有的研究都是基於真空形變後的基礎之上。眾所周知,我們生活的世界是三維空間。把真空不空這一基本事實結合起來,那么真空場形變後應具有三維特性,這是最簡單最直接的推論。整個可觀測的宇宙中都應該有這種場。由諾特爾(Noether)定理我們知道:時空平移不變性導致能量動量守恆,空間各向同性導致角動量守恆。這表明真空具有的均勻性和連續性及各向同性的性質。和數學不一樣,物理意義上的無限切分總存在一種能保持原有性質的最小的物質單元,於是給出第一條假設
假設Ⅰ 假設真空由可數無窮多的大小為 h 的緻密、均勻的、連續的物質構成,這種物質形態我們稱為真空場。 h 稱為真空場基本單元。
真空應變疊加產生維度效應基於高能物理實驗,粒子可以從真空中產生,也可以消失於真空。超大真空統一場理論認為真空物質應該可以形變,如果不可以形變,粒子從何產生又如何消失於真空呢?考慮一個未形變的場基本單元,沿某一方向發生形變時,點 O變為 O',如圖1所示,產生一個波動,該方向就波運動的方向,該指向構成1維,由正坐標軸(拉伸區)和反坐標軸(壓縮區)構成。與此同時, O'會拉伸周圍的場質,與坐標軸垂直的圓盤形變數最大,這一圓盤就構成與之垂直的坐標平面,該圓盤和軸具有軸對稱關係。如果此時還存在任意的一個場形變,軸對稱破缺,存在一個新的指向,兩個指向確定了一個新的平面,這個平面就是一個二維面,其波動指向在該平面內;當又存在一個新的應變時,如果該形變不在該二維面上,那么波動指向就會超出該平面內,其運動軌跡在一個體積內。為什麼不出現第四個維度,這是因為任意方向的疊加的應變最終都可以通過平行四邊形定則被三個正交維度分解,不需要第四個維度,上帝是節儉的。一基本單元疊加多種場形變,最終會疊加出三個相互正交應變最強的三個維度,這就是場基本單元的三個維度。如果在某一區域記憶體在應變疊加,那么巨觀地表現出來該空間存在三個維度。在此基礎上可以得到第二條基本假設
假設 Ⅱ 真空場基本單元 h 形變後才顯出三維特性。維度指向由應變確定,維度間具有獨立性。
這裡的真空場基本單元粘接構成,因而具有顆粒性,每一個基本單元被視為坐標空間中的一個點,用ξ表示。同一個場基本單元上,可以重疊地存在三類(σ, σ, σ)場形變,該點的場函式為ξ(σ),μ=1,2,3(三維空間)。進一步考慮真空場,如果有形變,真空物質不可能被壓縮到無限小,也不可能拉伸到無限大,於是得出第三條假設
假設 Ⅲ 真空場基本單元h可以發生小的形變,並存在著拉伸極限和壓縮極限,言某一維度方向形變的極限值為H/2;超過形變極限後會出現破裂而發生塑性形變, 塑性形變會造成維度分裂拉伸而構成弦 。
當一種物質形變之後,再形變就會變得相對更困難,於是我們在假設Ⅰ的基礎上給出第 Ⅳ條基本假設
假設 Ⅳ 真空場的形變會降低其傳播能力。
如果真空的傳播能力降低,光子的傳播速度就會變慢,光速的非均勻性會導致光線發生折射,如同光進入水中之後,傳播速度變慢發生折射一樣,光線會發生彎曲。
上述四條基本假設描述了真空場基本的性質,換言之,這就是超大真空統一場理論對真空結構的表述。
粒子和空間的關係:該理論認為基本粒子和四種力場、時空等萬事萬物都是真空場不同形變模式的產物,實物粒子和真空是一體的,如同水中的漩渦與水是一體的。
在上述論述中,可以看出,相對而言,超大真空統一場理論對真空的結構最為原始。對於粒子和空間的關係而言,真空統一場理論的空間和其他理論存在著本質上的差異,空間和物質不再是獨立的個體,而是一體的。
3)真空場論的引力理論
(1)狹義相對性原理的真空場論解釋
狹義相對論建立於兩個基本原理之上,即光速不變原理和狹義相對性原理。真空場論解釋如下。
真空場理論引入測量協變原理解釋狹義相對性原理:對於在真空場中運動的光子和費密子顯然也隨真空非均勻應變其傳播軌跡發生彎曲;同樣我們這些由費密子構成的智者全部“浸沒”於真空,測量設備將無法感知空間的形態,於是人類自己不可避免地要發生測量協變。換言之,在自由下落或勻速運動的箱體中,我們沒有任何感覺。這種由於“感知和觀測”一齊隨空間改變而改變,最終導致無法感知空間的形態變化,這種效應被定義為測量協變。具有測量協變效應的參照系構成一個局域慣性系,該參照系內物質的運動規律不發生改變,所謂的“彎曲”是相對的,這就解釋了狹義相對性原理(即一切物理定律在所有慣性參考系中都是等價(平權)的,沒有一個慣性系具有優越地位,不存在絕對靜止的參考系,或者說,一切物理定律在洛倫茲變換下數學形式不變。)
光速不變性光速不變性的真空場解釋:光速不變原理指在自由空間中, 光傳播速度具相同的數值, 與慣性系的運動速度無關, 與光源速度無關。該理論認為世間萬事萬物的物質都是以真空為媒介進行傳播的,這就是物質波。物體運動的本質是費密子在傳播(德布羅意波)。相對於靜止參照系而言,必須對運動參照系施加能量能才能使整個運動參照系高速運動,而構成整個運動參照系的物質(包括時鐘)由費密子構成,所有費密子沿運動方向存在一個真空應變,應變會降低費密子的傳播能力,使得由費密子構成的時鐘變慢。這樣,所有參照系測出來的光速均不變。
麥可遜-莫雷實驗麥可遜-莫雷實驗的新解釋:麥可遜干涉儀用於測量以太風的存在。干涉儀可以平穩地轉動,儀器轉動90度,光通1、2的時間差應改變,干涉條紋要發生移動,從實驗中測出條紋移動的距離,就可以求出地球相對以太的運動速度,從而證實以太的存在。當整個儀器緩慢轉動時連續讀數,這時該儀器的精確度為 0.01% ,即能測到1/100條條紋移動,用該儀器測條紋移動應該是很容易的。但實驗結果是:未發現任何條紋移動。結果證明光速在不同慣性系和不同方向上都是相同的, 真空場的解釋是所有的儀器設備、計時器及光源都是費密子波,背景空間改變會造成測量協變,所以不會產生條紋移動。
時鐘對時間的認識:該理論認為 時間就是物質以運動形式存在的效果的表述,時鐘則是運動快慢的標尺。簡單地說所有的粒子都以波的形式存在,波的存在方式就是傳播,換言之,物質是以運動的形式存在著,要表述運動的效果,相互之間需要有一種比較才能得出結論,這就是時間。這種用於比較的工具就是時鐘。
控制時鐘的快慢根源:時間的快慢是由背景真空應變數決定的,某一區域物質構成的運動體系如果背景場變“硬”,那么會導致該區域整個物質運動體系的運動(傳播)速率變慢,於是該區域的時鐘變慢,反之,則變快。如果該區域整個物質運動體系進入黑洞中心,黑洞空間的應變達到極限,“完全硬化”,則粒子運動(傳播)速率趨近於零,那么時間將被凍結。另外值得注意的是沒有一種背景場能夠讓所有物質按原路徑返回。
時空反演時間的單向性:實際的情況是物質總是處於不斷的運動之中:小到基本粒子,大到宇宙都處於運動中。對於某一區域而言,該區域總存在多個運動物體,多個運動物體構成一個運動體系,這個運動體系的運動效應構成了該區域存在時間維度。如果該區域的時間倒流,那么該區域的運動體系就必須滿足如下條件:a. 所有運動的獨立體必須從原路徑返回;b. 這種返回必須絲毫不差;c. 體系之間返回時的相互關係必須保持不變。這樣苛刻的條件就是在一個極小的區域都很難實現,更何況在一個大的區域。因為不可能同時存在一種鏡向力場,讓整個體系的(至少是一個區域)的所有物質按原路徑返回,所以不存在反向時間。時間之箭的單向性是由體系運動的不可重複性所決定的。時間反向要由該區域所有作運動物質沿原來的路徑返回,這樣的運動形式不可能存在。
否定時間倒流:時間不是一種幾何體,自然無縫隙一說。在很多很嚴謹的科學論著中,我們能看到時空中存在一種稱為“蟲洞”的時空結構,能實現時間反演,但“蟲洞”是一種高維時空的幾何概念,對於只有四維時空的真空,況且時間不是幾何體,因而“蟲洞”沒有存在的基礎。就算能實現的話,就必須將一個大範圍運動體系至少是一個城市放到蟲洞中,然後蟲洞必須把構成整個城市的每一個基本粒子的運動都按原路徑軌跡精確返回,且不說這是否會違反因果律,對蟲洞而言,需要的不僅是巨大的能量,更重要的使蟲洞必須具有是所有運動物質按原路返回的這種精巧的加工手段。這顯然不可能實現。
(2)廣義相對論的真空場解釋
廣義相對論的主要結論是:引力是空間的彎曲。引力在此被描述為時空的一種幾何屬性(曲率),而這種時空曲率與處於時空中的物質與輻射的能量—動量張量直接相聯繫,其聯繫方式即是愛因斯坦的引力場方程(一個二階非線性偏微分方程組)。時空告訴物質如何運動,物質告訴時空如何彎曲。
R-gR/2(真空非均勻硬化,表現為光線彎曲)=8πGT/c(能量動量張量,即場形變數,對應物質)
從真空場的角度來看,時空“彎曲”的概念和愛因斯坦所構想的完全
真空硬化導致時空彎曲不同,這裡的“彎曲”是以真空不空為基礎。這種“彎曲”是由於真空的整體上存在形變,形變後的場會降低傳播能力(形象地說是真空場發生“硬化”),因而光的速度會變慢,發生折射。類似於光射到水中,水使光速變慢而致使光線“彎折”。對於時空彎曲我們作如下定義: 由於背景真空場存在大範圍的非均勻的場形變,使得光子和費米子的傳播速度變慢,這樣便發生折射效應使得光線彎曲,這種效應稱為時空彎曲。也就是說非均勻性產生引力效應。
引力子結構黑洞:從真空場的角度來看,黑洞是一種使得真空場具有極度形變的天體,黑洞的中心的形變的程度達到了真空物質的應變極限,在其中心由於真空達到應變極限,使得中心區域不存在彈性應變,該區域形成一個失去彈性的“硬核”,物理學消失了,時間也被凍結了,光線的彎曲達到了折射的極限。從結構上來說,電子可以理解為一個極其微小的黑洞。
引力子的結構:具有靜質量的費米子受擾動後會發射引力子,費米子中心點擠壓前面的臨近的場基本單元,沿傳播方向的極限形變數為H,該場基本單元成為引力子中心點。引力子具有三維球狀結構,其時空總形變數為h,由於費米子存在自旋,因而引力子中心點繞螺旋線向前傳播,由於引力波傳遞萬有引力,具有雙箭頭特性,即轉動180,可重合,即自旋角動量為2;與光子不同的是引力子沒有纖維結構。引力子是規範場玻色子,能量極低,但體積極大,超過一個星系。
引力波穿過時星系如水母擺動引力波具有不可測性:因為對於引力波來說,引力子形變區域的半徑比地球的半徑要大得多, 即R>>r。地球以及所有的觀測者、精密的引力波測量儀器都浸沒於巨大的引力波之中,於是不可避免要發生測量協變。當引力波經過星系,星系如同水母擺動,當引力波向地球傳播過來時,背景場發生形變,地球本身也隨背景場的形變而發生形變,根本不存在一個相對不變的參考系。所以我們的思維和儀器也隨引力波一起波動,這種隨時間不斷變化的測量協變稱為動態測量協變。我們來做一個假想的實驗:當我們進入一個封閉的自由下落的箱子內,此時有引力場存在,換而言之存在彎曲的背景場。整個箱體沿短程線運動,在箱體內的我們處於失重狀態。我們會認為無引力存在,我們在箱體內不可避免地陷入了測量協變中,我們對背景場變化失去了判斷力,我們會自以為我們處於平直空間中。我們進一步構想:如果引力場忽大忽小,不斷變化,那么箱體和我們下落的加速度也會忽大忽小,而箱體內的我們將對背景場的變化一無所知,我們仍然會自以為處於平直空間中,這便是動態測量協變。今天,我們雖然能用數學描述引力波,但由於存在測量協變的困擾,上帝與人類開了一個天大的玩笑,無論我們用何種精密的儀器、何等精巧的構思以及何種艱苦的努力我們都無法直接測到引力波。
4)真空場論的電磁場
(1)電磁波
光子結構電磁波的粒子性: 普朗克(Planck 1858—1947,德)於1900年提出輻射能量在被吸收或發射時,電磁波以完整的量子形式存在,其能量E=hν,ν是頻率,h稱為普朗克常數。之後,愛因斯坦以此解釋了光電效應;光子的能量、動量滿足:p﹒λ=ε﹒T=h,光子動量p =h/λ,λ為波長,或者用波矢量 │ k│=2π/λ表示;為: p=2πh k,光子的能量 E=2πh ω,光速λν=c。光子是電磁波,同時又具有粒子性。
光子的結構:O點的移動還會造成中心附近的場極度彎曲, 由基本假設Ⅰ知,真空是由均勻平直三維真空場構成,且存在著拉伸壓縮極限,這種極度彎曲使場在達到形變極限時,還不能滿足彎曲的曲率,出現了撕裂現象,這就使得真空產生纖維結構, 我們把這種局域的場形變造成的具有纖維結構效應的定義為電力線, 由電力線構成的場為電場。由場基本單元移動所造成的具有纖維結構的縱波的整體效應稱之為光子。
普郎克常數:普郎克常數h在真空場理論中有著非常明確的物理意義, 就是光子四維時空總形變數 h=P ﹒ Φ=E ﹒ Φ 或者說是光子的真空總形變數。
光子的動量:就是光子在內部空間0~Φ的平均空間形變率,即 P=h/Φ,單位長度的真空形變數。
光子的能量:就是光子在內部時間0~Φ的平均時間形變率,即E=h/Φ,單位時間的真空形變數。
測不準關係:我們用實驗感知的極限便是用一個量子場去感知另一個量子場。實際測量中,用光子作為探測粒子,當一個量子場碰上另一個光子球後,只要進入光子球殼以內,就會使光子中心點造成擾動,並改變光子球的運動位置,於是無法準確測定(或用一個量子場感知另一量子場)該光子中心點的位置,這就使得動量和位置不能被同時測定。
光子波粒二象性:光子同時具有縱波和橫波,光子縱波的非擴散性使其具有縱動量,表現為粒子性,而橫波使光子中心點的相速度呈現出周期性快慢變化,對於觀測而言表現出具有幾率波的性質,光子同時具有的這兩種特性定義為光子的波粒二象性。
(2)電子
電子的產生:真空極其緻密,一個蘿蔔一個坑,如果真空受到激發,某一場基本單元被激發出來,就會出現一個“坑”和一個“蘿蔔”。 “坑”對應的是電子e,“蘿蔔”對應的是正電子e。
電子的渦漩效應:當有一場基本單元從原有的位置飛脫出來,就會在原來的地方留下一個空穴,這樣就會對周圍的真空場產生影響。類似裝滿水的洗澡盆,當我們把底部的木塞突然拔掉就會出現了一個空洞,會形成一個圍繞空洞匯聚流動的漩渦。真空場的某區域受到激發,一場基本單元從原有的位置飛脫出來,飛脫出來的場基本單元則又會壓縮它周圍的真空場,並產生具有反向自旋的“源”,形成反電子。該反電子有“自旋”“源”的結構。
電子的產生:場基本單元被激發,導致電子對的產生,真空中出現空穴,於是周圍的場基本單元就會自旋匯聚填充這個空穴,這種效應就產生了電子。 把激發態場基本單元對周圍場所造成的整個形變區域定義為電子的內稟空間,所產生的整體的效應稱為電子。電子具有“自旋”“匯”的結構。e電子是一個“匯”,即匯聚波,既有自旋,又有磁場,中心點為一個場基本單元空穴;e電子是一個“源”,既有自旋,又有磁場,中心點為一個游離態場基本單元。
超大真空統一場論電子自旋:當真空出現一基本單元空穴時,空穴周圍的場形變到極限,達到傳播條件,就會形成一個像漩渦一樣由外向中心傳播的波,這就是電子自旋波;相反,如果真空多出一場基本單元,就會形成一個由中心向外傳播的波,這就是反電子的自旋波。電子的自旋波效應定義為電子自旋。電子自旋角動量為1/2,可以把自旋波理解為一個繞輕子中心轉動的縱光子。由於自旋量子波只有一半電力線存在於空穴球之外,對於我們的實驗觀測來說自旋角動量h/2。
電子磁場:自旋波使得具有纖維化結構的電子發生進一步形變而產生維度分裂,y維出現一個極小的偏移而形成了y方向纖維,和電力線不同:在y維上沒有真空場得失,所以當y軸向上移∆y時,必然出現微小的真空,如右圖所示,必須由相鄰真空場的一維真空場來填充,如此一直持續下去最終要形成一個封閉的電力線才能保持真空場不出現真空場缺損真空,所形成的纖維結構的場是封閉的, 這種封閉的具有和電力線類似結構的纖維化場定義為磁場。
電子的傳播特性: 電子傳播是靜止的電子與光子耦合所產生的傳播效應。輕子傳播時,是由輕子中心點決定的。電子是匯聚波,中心點的場基本單元形變由於達到形變極限而失去彈性,電子中心點的形變為塑性形變。形象地說,中心點的場失去彈性,是一個“硬”的小塊,傳播能力降低,任意大小的場應變都能滿足傳播條件,無法超過光速,於是輕子有了這種特性,能以任意小於光的速度進行傳播。光子是簡單的矢量波,這就是為什麼光子總是以光速傳播,而費米子則能以任意的速度傳播。電子的傳播可以理解為是一個靜止的電子與光子耦合所產生的效應,因而電子傳播具有與光子類似的傳播特性,即波粒二象性。
慣性質量:質量就是量子場傳播效果的巨觀效應。 由於費米子中心達到形變極限,使得費米子能以小於光速的任意速度傳播,且粒子內部場形變率決定了粒子傳播性能好壞,這種巨觀的可觀測傳播效應定義為費米子慣性質量。
電磁耦合常數的估算:
電磁耦合常數· 電子的電力線要鎖定光子的中心點,則顯然右半球的真空場不能鎖定光子中心點,而只有左半球內的電力線存在鎖定光子中心點的可能性,這樣就只有1/2的電力線有可能;
對於電力線來說,基本單元真空場為三維,其中只有一維真空場能形成電力線,於是光子中心點和輕子中心點耦合通道不是三維而僅僅只有一維。當三維均參加耦合傳遞,則通道的寬為1,所以通道寬度為1/3;綜上兩點,得機率為1/2×1/3=1/6。
· 在這電力線中,某一電力線與光子中心點和輕子中心點的連線線構成的角度為θ,θ值越小的電力線鎖定光子中心點的可能性越大,換而言之,值越小則越有利於光子傳遞動量,可得機率為 4/3π;
綜合上述,對於單個電子電力線耦合鎖定光子中心點進行耦合的機率就為α=4/3π×1/6≈1/139.5。
中微子結構中微子:在真空場理論中,中微子是自旋波獨立的表現形式。 由純粹自旋態光子構成的 量子場定義為中微子。這樣的結構類似於龍捲風,自旋波中心點繞半徑為R的圓環傳播。自旋光子中心點是在近似圓盤狀的二維面上進行傳播的,自旋波相對於輕子中心向內或向外傳播,就造成了新的輕子場的形成。中微子沒有電荷,無電磁場,實驗無法分辨中微子是左旋還是右旋。
單電子雙縫衍射自己和自己干涉單個電子的雙縫衍射: 波粒二象性的真空場本質是電子自己和自己干涉。球體表示電子的內稟空間大小,電子中心點一邊前進一邊上下振動,這樣中心點軌跡是一條餘弦曲線。大家可以看出波峰位置用粗虛線表示,在波峰(粗虛線)處,幾率最大,而在細虛線處幾率最小。電子的球狀波遇到
5)弱作用
弱作用分裂力程弱作用是不穩定高能態費米子內稟場發生衰變分離,而形成多個較穩定的低能態費米子。輕子弱相互作用的本質是輕子態的粒子通過釋放中微子由高能態衰變為低能態的過程。對於費米子而言,內部的應變場就是靜態弱力場。處於低能態的粒子是最穩定的。弱作用是高能態粒子中心點的分裂,粒子由高能態回到低能態。這有點像細胞分裂。當中心點由一個變成兩個時,弱作用也就結束了,所以弱相互作用的力程特別短。弱作用的力程小於10cm。
普通空間分裂為壓縮半向空間和拉伸半向空間弱作用中宇稱不守恆的真空場解釋:我們把具有單一的正空間或負空間的空間定義為半向空間,規定壓縮真空場的空間為負空間,而拉伸真空場的空間為正空間。當產生一對輕子後(費米子),反的輕子為壓縮場而無拉伸場存在,而正的輕子則只有拉伸場存在而無壓縮場,於是物理空間發生分裂,一個全向的空間分裂為兩個獨立的半向空間,分別為正半向空間和反半向空間。這種分裂後的空間是一種非常奇特的空間,所有的維度依然保持原來的特性,但方向卻僅有原來的一半,構成半向空間。
基本粒子的自旋:自旋的本質就是量子場的不同場應變形式的空間表現效果,並不是物理意義上的自旋
· 自旋為0的粒子為標量場粒子。例如戈登斯通粒子。
· 自旋為1的粒子為玻色子,是一個箭頭,其作用具有單向性。例如光子傳遞相同電荷間排斥力或者傳遞相異電荷間吸引力;
· 自旋為2的粒子為玻色子,是一個雙箭頭,其作用具有雙向性,例如引力子永遠傳遞萬有引力;
· 自旋為1/2的粒子為費密子,具有半向空間特性,轉動兩周后回到原位。
· 宇稱不守恆的原因:左右半向空間分裂後,弱作用在單一的、相同的半向空間內進行,因而左右不對稱,即宇稱不守恆。
Higgs粒子結構Higgs粒子:真空震動產生一個匯聚柱體波 φ和擴散波柱體波 φ,該柱體波垂直於振動的超平面, φ與 φ互為對耦關係,兩者疊加構成未破缺的φ場,由於真空並未破缺,所產生的質量項沒有可觀測性,且具有轉動不變性,自旋為0。φ就是一個可以超光速振動的振動源,這樣的振動源看似平靜,但已經積蓄了能量,處於極不穩定的狀態。Higgs粒子就是一個出現破裂的振動源,Higgs場在 Y方向破裂,即匯聚柱體波沿Y方向傾斜倒下後導致該振動源傳播產生質量效應,因而處於傾斜運動狀態的匯聚柱體波構成了具有破缺特性的Higgs粒子。從垂直狀態到倒下狀態的時間就是Higgs粒子的壽命,全倒下後,振動源消失,產生實物粒子。
6)強相互作用
(1)質子的形成及結構
質子結構夸克顏色的本質就是夸克的能級。反電子中心點游離態場基本單元和非游離態場基本單元結合構成一個完整的帶正電荷的穩態輕子場,受到強激發就會發生維度分離。y維把2/3的場基本單元轉移到其他兩維上,從電荷量的角度則為e/3游離態轉移到z維上,然後再把1/3的非游離態場基本單元轉移到x維上,於是z,x維均獲得1/3的基本單元的場物質再加上原有的物質便成為帶有2/3游離態場基本單元的物質,表現為帶+2e/3電荷的夸克場,而y維留下-e/3的空穴夸克場。這些夸克場都有自己相應的1/2的自旋。
質子和中子的基本結構:三個夸克處於不同的能級,因而不違反泡利不相容原理;夸克帶弦,使得夸克被禁閉。
強相互作用是夸克弦相互糾纏產生的效應。
強相互作用的耦合常數:夸克低能態相互作用中,探測夸克的1根弦最多會和核子夸克3根弦發生相互作用,這樣1根探測弦的最大貢獻率為:1/3× (1/3+1/3+1/3)=1/3,單個核子之間(6個
π介子和膠子結構夸克)相互作用的機率(1/3+1/3+1/3)× (1/3+1/3+1/3)=1;高能時,進入強子內部,探測夸克靠的很近,探測夸克的1根弦處於最少相交狀態,只與被測
核子夸克1根弦相互作用,因此,兩個夸克相互作用的機率為1/3×1/3,最小貢獻率為 1/9。
π介子和膠子:傳遞費密子間相互作用的粒子稱為玻色子。膠子就是夸克弦里的縱波,夸克弦是膠子傳遞夸克間的強相互作用的通道;π介子由一對正反夸克構成,傳遞強子(質子、中子)間的強相互作用。
(2)宇宙中正反物質非對稱性的真空場解釋
電子中心點的穩態結構
反電子中心點的穩態結構電子和反電子具有對偶結構,電子是一份游離的基本單元空穴場,真空場向空穴中心點坍縮形成帶e電荷的輕子場,由於中心點空穴無場存在,自然也就無維度分裂可言,因而中心點是極其穩定的,構成非常穩定的輕子場,為正物質。如圖電子結構所示,e中心點和e是大不一樣的,e中心點存在游離態場質,在強大的真空物質的擠壓下,受到擾動後,很容易發生維度分裂而形成質子。由於e的空穴結構異常地穩定,很難形成維度分離而形成反質子,所以這也是為什麼我們宇宙大量物質是以e 和質子的形態存在,而極少見到反物質。顯而易見,宇宙中並無反物質世界存在。
真空量子漲落空間量子漲落:量子論認為萬物都擺脫不了不確定性原理所規定的量子漲落——引力場也不例外。量子力學證明,引力場儘管在平均意義上為零,它實際上卻在因量子漲落而波盪起伏。另外,不確定性原理還告訴我們,關注的空間越小,看到的引力場起伏越大。量子力學展現了一個沒有絕望的世界,越是狹窄的地方,越是浪花飛濺。
這樣的認識使得廣義相對論在進入到量子場領域時就失效了。量子場和廣義相對論之間存在了一條難以逾越的鴻溝。真空場的觀點認為在沒有受到任何擾動的時空總是平直的,這樣平直穩定的空間會一直保持到任意的距離尺度,這就是真空場的時空圖景,這樣,廣義相對論在任何範圍的空間都不會失效,前提條件是真空場不發生破裂。但對於實驗觀測而言,觀測工具就是基本粒子,不確定性原理源自於測量,由於觀測工具的本身就是擾動源,對平直量子場造成量子漲落,測量距離越短,對被測空間影響越大。這類似於我們乘坐一架直升飛機觀測一個平靜的湖面,如上圖所示,直升飛機自身的螺旋槳會對湖面造成擾動,觀測距離越遠,湖面越平靜;反之觀測距離越近,湖面越是波濤翻滾,波濤起伏的區域在觀測區域內。當觀測近距離小到一定的程度,我們觀測帶來的擾動使我們看到波濤起伏的虛粒子海。近距離的觀察所導致的量子漲落不再是引力場起伏,因為量子起伏會導致真空場(背景時空)結構被破壞,不滿足應變協調方程,此時近距離觀測到的“引力場”不再是引力場,而是量子場!當我們把巨觀引力場用觀測工具切割成量子場時,引力場已不復存在,量子化的本身就是在破壞引力場。
力場的歸一:時空被熨平導致力場的歸一。真空場的硬化嚴格正比於相互作用能量,隨著能量的增加,相互作用區域背景場逐步變硬。在一個完全變硬失去彈性的背景場中,局域真空場達到形變極限,此時所有的形變不再是彈性形變,而只存在塑性變形。建立於彈性形變基礎之上的量子場、引力場會完全消退,相互作用實現統一,在這樣的情況下,物理學也隨之消失。這一情況類似於黑洞中心區域的情況。
數學結構
數學結構基於應變理論和規範原理,下面給出最有代表性的粗略結構,並不是嚴格意義的數學表述。
1. 真空的形變
超大真空統一場論
超大真空統一場論
超大真空統一場論
超大真空統一場論當真空某一區域的某一點 發生應變變為 ,真空的形變借用四維應變來表述,其四維真空場應變矩陣 , 。則
超大真空統一場論
超大真空統一場論(1)
超大真空統一場論
超大真空統一場論
超大真空統一場論點產生一個場函式 ,這就是量子場(上述未考慮波動振幅)。如果場應變極小 ,那么
超大真空統一場論(2)
超大真空統一場論就退化為引力場的度規張量。如果 ,那么
超大真空統一場論=η (3)
超大真空統一場論稱為該點真空,具有平直空間度規η(即閔可夫斯基度規)從量子場角度而言, 即一個應變為零場基本單元,從粒子的角度可以理解為的無質量、無電荷、自旋為零戈登斯通粒子。
2.粒子內部自由度空間的引入
超大真空統一場論
超大真空統一場論
超大真空統一場論考慮四維應變張量 被分解為三項:能量項、質量動量項和電磁項,電磁項隱含自旋。單一粒子內部空間存在多個自由度空間,在自由度空間 中,存在N個維度(例如電子存在的自由度:能量、動量、靜質量、自旋等),每一個自由度有一個坐標軸 ,由 構成自由度空間的完備正交系:
超大真空統一場論
超大真空統一場論ε x=η ,( )可將該式分解寫為
超大真空統一場論
超大真空統一場論
超大真空統一場論
超大真空統一場論
超大真空統一場論(4)
超大真空統一場論
超大真空統一場論
超大真空統一場論內稟自由度 被限制在內稟空間中,這樣多維閔可夫斯基度規 對於我們的觀測而言,退化為 維閔可夫斯基度規 。內稟空間四維時空可延伸至可觀測四維時空中。
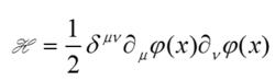
3. 氏量密度L和哈密頓量密度H
場應變是自由度空間中的應變,自由量子場的L氏量密度對應單粒子內稟自由度空間的應變間隔。
超大真空統一場論(5)
每一個自由度的應變為該自由度的能量,量子場的總的應變對應該量子場的哈密頓量密度。
超大真空統一場論(6)
為η 多維閔可夫斯基度規。
4.統一場方程
真空量子場源自於平直真空的形變,正形變形變場恆等於負形變場,彎曲空間會有相應的補償以保持守恆。從規範原理考慮背景時空後,統一場方程為
Dμ[ψ(x -Γ x dξ )]Dν[ψ(x -Γ x dξ )]=0 (7)
這裡Γ 為克里斯托菲(Christoffel)符號。為粒子內稟自由度空間度規 。
小結
通過上述討論,我們得到一個強烈的印象:宇宙天體的結構和基本粒子的結構有著驚人的相似性,費米子波是真空場的三維渦旋波,中微子是二維渦旋波,光子是一維縱波等等。所有物質以波的形式存在,物質和能量的本質是波。波的傳播屬性賦予物質運動自由度屬性,即時間,時間沒有幾何性質。物質和真空是同一物質的不同表現形式,兩者一體的。三維空間是真空形變產生的效應,不存在多維空間。超大統一真空場理論是一個新理論,還有待進一步的發展和完善。
