簡介
快速隨機擺動指標(QKD)綜合了動量觀念、相對強弱指標與移動平均線的優點,是通過一段時間內出現過的最高價、最低價及收盤價計算出K和D的值。快速隨機擺指標多用於中、短期買賣時機的研判。
適用法則
快速隨機擺動指標理論適用於股票市場的中、短期技術分析。關於K、D的解釋較多,在此僅列出如下三種:
1、當K或D低於某一特定水平(如10)然後又漲過這一水平時買入;在K或D高於某一特定水平(如90)然後又跌破這一水平時賣出。
2、在K線升到D線以上時買入,在K線降到D線以下時賣出。
3、尋找股價與指數之間的背離,如股價連創新高而K、D卻創不了新高。
指標構成
t——當日;
n——時間長度;
Ci——第i日的收盤價;
Hi——第i日的最高價;
Li——第i日的最低價。
K、D有以下四個變數:
1、K時期:在本指標計算時所用時期總數。
2、K減慢期:此值決定K的內在緩急,取1表時隨機指標加快,取3表明減慢。
3、D時期:此為計算K移動均線時所用的時期數。移動均線稱為D,常在K上以虛線表示。
4、D方法:用來計算D的方法(即指數法、簡單平均法(股票)、時間序列法、三角法、變數法或權重法)。
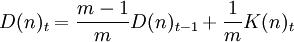
計算公式


注意:
1、一般取n=20,m=6。
2、若沒有前一日K值時,用50代替。通常還引入另外一個參數J,其公式為J=S*D-(S-1)*K,一般取S=3。
研判法則
1、在K值和D值小於10,屬超賣,是買入信號。
2、在低位K線從下向上過D線,稱為黃金交叉,是買入信號。
3、K、D線在低位二次黃金交叉時,是最佳買入信號。
4、股價創新低,而K、D值卻不創新低,稱不底背離,是買入信號。
5、K值和D值大於90,屬超買,是賣出信號。
6、在高位K線從上向下過D線,稱為死亡交叉,是賣出信號。
7、K、D線在高位二次死亡交叉時,是最佳賣出信號。
8、股價創新高,而K、D值卻不創新高,稱為頂背離,是賣出信號。
關於隨機指標
隨機指標是動量指標的一種,是由George Lane在1950年代發明的。根據和0軸的相對位置,它可以給出超買/超賣指標。隨機指標也用來給出背離和收斂信號,比如當股價/指數創出新低但是隨機指標沒有呈現同樣的形態,這是一個轉牛的信號。相反的當股價/指數創出新高但是隨機指標沒有或者只是水平運動,則這是一個轉熊的信號,同時股價/指數隨後也會跟隨隨機指標的走勢。

