基本介紹
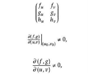
秩定理是有關雅可比矩陣的秩的一個定理,設f是從R 的區域A到R的區域B的連續可微函式,在每個x∈A處雅可比矩陣f′(x)的秩均為r,r≤m,r<n,則對每個x∈A,存在x的鄰域U⊆A,使點y∈f(U)的某n-r個坐標是另r個坐標的可微函式.例如:設m=2,n=3,F(u,v)=(x,y,z)=(f(u,v),g(u,v),h(u,v)),(u,v)∈A,F連續可微,(x,y,z)=(f(u,v),g(u,v),h(u,v))。若在(u,v)處,F的雅可比矩陣
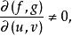
秩定理的秩為2,並且有
秩定理則在包含(u,v)的某個區域上
秩定理上述雅可比(Jacobi)矩陣的秩為2。由秩定理,在(x,y,z)的某鄰域內,F(A)中點的坐標(x,y,z)可表示為形如z=φ(x,y)。這就是說,以參數式x=f(u,v),y=g(u,v),z=h(u,v)表示的曲面,在對應於使
秩定理的秩為2的(u,v)的曲面上的點(x,y,z)附近,可以用z=φ(x,y)表示 。
相關概念及介紹
定義 設U是R 的開子集f:U→Rⁿ為C 映射,映射f的Jacobi矩陣在點x∈U的秩稱為映射f在x點的秩,若對每個x∈W(⊂U),f的秩均為r,則稱f在W上的秩為r。
作映射f和一個微分同胚的複合,由於微分同胚有非奇異的Jacobi矩陣,根據鏈規則定理,這個複合映射的秩等於映射f的秩 。
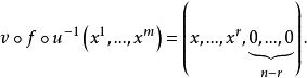
定理1 (秩定理) 設G、H分別是R ,R 中的開集f:G→H是C 映射,且f在G上的秩等於r,如果點x∈G,y=f(x)∈H,則存在x,y的開鄰域G⊂G,H⊂H及R ,R 中的開集U、V和C 同胚
秩定理
秩定理使得映射具有下述簡單形式
秩定理
秩定理注 秩定理告訴我們的是在定理1的條件下,即在G上的秩恆為某個常數r,則f在G上每點x的附近可通過局部C 同胚簡單表示為R 中的點在前r個坐標構成的r維坐標面上的投影。
推論 可用以下方式選取U和V:
秩定理(i)或
秩定理(ii),此處
秩定理
秩定理
秩定理
秩定理
秩定理
秩定理以π表示到R 的投影,i表示R 到的子集的單射,則在情況(i),(ii)中,分別是上的恆同映射 。

