簡介
神經鞘磷脂組成
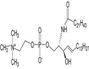
神經鞘磷脂富含於神經膠質細胞和紅細胞中。它由鞘氨醇,脂肪酸和磷酸膽鹼所組成。其中鞘氨醇的氨基通過醯胺鍵與脂肪酸相連,構成N-脂醯鞘氨醇,稱神經醯胺(cenamide)。膜中中性鞘磷脂本科能將鞘磷脂水解成神經醯胺和磷酸膽鹼,神經醯胺是一種內源性調節劑。非正常降解,會在細胞內積存,引起肝、脾腫大及痴呆等鞘磷脂沉積病狀。可用於製備脂質體和用作生化試劑。
人體內含量最多的鞘磷脂,由鞘氨醇、脂酸和磷酸膽鹼構成。亦是構成生物膜的重要組分。與卵磷脂並存與細胞膜外側。

神經鞘磷脂,人體內含量最多的鞘磷脂,由鞘氨醇、脂酸和磷酸膽鹼構成。亦是構成生物膜的重要組分。與卵磷脂並存與細胞膜外側。
神經鞘磷脂神經鞘磷脂富含於神經膠質細胞和紅細胞中。它由鞘氨醇,脂肪酸和磷酸膽鹼所組成。其中鞘氨醇的氨基通過醯胺鍵與脂肪酸相連,構成N-脂醯鞘氨醇,稱神經醯胺(cenamide)。膜中中性鞘磷脂本科能將鞘磷脂水解成神經醯胺和磷酸膽鹼,神經醯胺是一種內源性調節劑。非正常降解,會在細胞內積存,引起肝、脾腫大及痴呆等鞘磷脂沉積病狀。可用於製備脂質體和用作生化試劑。
人體內含量最多的鞘磷脂,由鞘氨醇、脂酸和磷酸膽鹼構成。亦是構成生物膜的重要組分。與卵磷脂並存與細胞膜外側。
神經鞘磷脂沉積病(sphingomyelinosis)也稱之為Niemann-Pick病是由神經鞘磷脂酶缺乏所引起的一種遺傳代謝性疾病,為常染色體隱性遺...
概述 病因 發病機制 臨床表現 併發症從眼鏡蛇毒液中提取的活性成分,能夠刺激神經生長。純化的眼鏡蛇眼鏡蛇毒神經生長因子在體內和體外均無直接毒性作用。其作用可看成是對其他毒物機理的增強。
簡介 理化性質 空間結構 毒理 生理功能神經鞘脂貯積症所屬現代詞,指的是一類因溶酶體內神經鞘脂分解代謝相關酶的遺傳性缺乏,使神經鞘脂降解障礙而堆積,導致器官的損害。
簡介 分類 臨床表現 診斷與防治 遺傳諮詢先天性糖脂代謝性疾病。其特點是全單核巨噬細胞和神經系統有大量的含有神經鞘磷脂...(sphingomyelinase)缺乏致神經鞘磷脂代謝障礙。導致後者蓄積在單核0巨噬細胞系統內,出現肝、脾腫大,中樞神經系統退行性變。 神經鞘磷脂是由N-醯鞘氨醇與一個...
簡介 發病機理 臨床表現 疾病診斷 輔助檢查可作神經鞘磷脂酶活性測定,悄神經鞘磷脂排泄量、肝、脾或淋巴結活栓證實....抗氧化劑 維生素C、E或丁羥基二苯乙烯,可阻止神經鞘磷脂M所含不飽和脂肪酸...氏病為神經鞘磷脂酶(sphingomyelinase)缺乏致神經鞘磷脂...
【診斷】 【治療措施】 【發病機理】 【臨床表現】 【輔助檢查】的含有神經鞘磷脂的泡沫細胞。較高雪氏病少見。為常染色體隱性遺傳,以猶太人...以前死亡。皮膚常出現細小黃色瘤狀皮疹有耳聾。神經鞘磷脂累積量為正常的20...(sphingomyelinase)缺乏致神經鞘磷脂代謝障礙。導致後者蓄積在單核0...
簡介 臨床表現 發病機理 診斷依據 鑑別診斷巨噬細胞和神經系統有大量的含有神經鞘磷脂的泡沫細胞。較高雪氏病少見。為常染色體...(sphingomyelinase)缺乏致神經鞘磷脂代謝障礙。導致後者蓄積在單核0巨噬細胞系統內,出現肝、脾腫大,中樞神經系統退行性變。神經鞘磷脂...
疾病概述 病因病理 臨床表現 診斷鑑別 治療預防以β糖苷鍵相連成鞘糖脂,含量最多的神經鞘磷脂即是以磷酸膽鹼,脂肪酸與鞘氨醇...與脂肪酸結合的脂,含磷酸者稱鞘磷脂,含糖者稱為鞘糖脂。 4膽固醇脂...的磷脂稱甘油磷脂,由鞘氨醇構成的稱鞘磷脂。 (一)甘油磷脂的代謝 甘油...
基本知識與理論 甘油三酯代謝 脂肪酸氧化的能量生成 酮體的生成及利用 脂肪酸的合成代謝