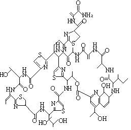
鏈黴菌屬遠青鏈黴菌(Streptomycesazureus)及夏威夷鏈黴菌(S.hawaiiensis)產生的抗生物質。分子量約1600,亦稱為蘚黴素(Bryamycin)或硫活素(Thiactin)。與其類似的抗生物質,有硫肽菌素(Thiopeptin)、鹽屋黴素A(SiomycinA)和孢囊黴素(即可變菌素)(Sporangiomycin)等。能抑制細菌蛋白質的合成。可作用於核糖體50S亞單位,阻礙蛋白質活體合成延長因子EF-Tu以及EF-G依賴性反應。

硫鏈絲菌肽分子量約1600,亦稱為蘚黴素(Bryamycin)或硫活素(Thiactin)。屬遠青鏈黴菌(Streptomycesazureus)及夏威夷鏈黴菌(S.hawaiiensis)產生的抗生物質。
鏈黴菌屬遠青鏈黴菌(Streptomycesazureus)及夏威夷鏈黴菌(S.hawaiiensis)產生的抗生物質。分子量約1600,亦稱為蘚黴素(Bryamycin)或硫活素(Thiactin)。與其類似的抗生物質,有硫肽菌素(Thiopeptin)、鹽屋黴素A(SiomycinA)和孢囊黴素(即可變菌素)(Sporangiomycin)等。能抑制細菌蛋白質的合成。可作用於核糖體50S亞單位,阻礙蛋白質活體合成延長因子EF-Tu以及EF-G依賴性反應。
