送樣問題
1 .砼試塊留樣的部位和數量
在規範中7.4.1中明確規定用於檢查結構構件混凝土強度的試塊應該在混凝土的澆注地點隨機抽取。取樣和試塊的留置應符合下面幾個規定:1.不超過100立方的同配合比的混凝土,取樣不得少於一次;2.每工作班攪拌的同一配合比的混凝土不足100盤時取樣不得少於一次;3.當一次連續澆注超過1000立方;每200 立方;取樣一次;每一樓層、同一配合比的混凝土,取樣不得少於一次;4.每次取樣應該至少留置一組標準養護試塊,同條件養護試塊的留置組數應根據實際需要確定。
所謂的實際需要,在規範的附錄D中說明:同條件養護的試塊所對應的結構構件或結構部位應由監理(建設)施工等各方共同決定,選定的依據是什麼?結構實體的檢驗僅限於涉及結構安全的柱、牆、梁等結構構件的重要部位。像墊層等非涉及結構安全的部位完全可以不留置同條件試塊。同條件試塊留置數量依照《規範》的規定:同一強度等級的同條件養護試塊,其留置的數量應根據混凝土工程的工程量和重要性決定,不宜少於10組(統計方法評定),且不應少於3組(非統計方法評定)。
當有抗滲要求的工程時,混凝土試塊應當在澆注地點隨機取樣,同一工程同一配合比的混凝土,取樣不應少於一次,留置組數可根據實際需要確定。
2. 砼試塊的製作和養護
參加混凝土強度評定的試塊分為標養試塊和同養試塊,標養試塊是指在標養室養護的試塊,規範規定標養試塊是在溫度20±2℃範圍,濕度大於95%,養護28天;同養試塊是指在澆注現場隨機抽取混凝土製作的試塊,同養試塊是在施工現場隨機抽取並在現場依現場養護條件日平均溫度累積至600攝氏度的試塊。同時,《規範》也規定了等效的養護周期不宜小於14d。在進行高層建築施工的情況下,通常我們也要留置拆模試塊,冬季時,溫度較低,混凝土的強度發展緩慢,這就要求拆模的齡期長些,夏季時,溫度高,混凝土的強度發展較快,一般在7d的現場養護條件下,混凝土強度就能達到90%以上,可以適當的縮短拆模齡期。
強度檢驗
頻檢驗收
現場攪拌混凝土以每個工作檯班拌制的同配合比混凝土,每100盤且不超過100m 取樣不少於一次;商品砼按每100m (有抗滲要求混凝土的抗滲試件為500m )相同配合比的混凝土,取樣也不少於一次;不超過100m 時,取樣不少於一次,當在一個分項工程中連續供應相同配合比的混凝土量大於1000m 時,每200m 混凝土取樣不少於一次。(如施工過程中需考慮支架拆除、預應力施工等要求的情況,需另行留置自養試件)
同一驗收項目、同強度等級、同齡期(28d標養)配合比基本相同(是指施工配製強度相同,並能在原材料有變化時,及時調整配合比使其施工配製強度目標值不變)、生產工藝條件基本相同的混凝土為一驗收批。
計算方法
混凝土強度應以標準養護、齡期為28d的試塊抗壓試驗結果為準。每組試件為三塊150mm×150mm×150mm的標準試塊。
①對於小批量零星混凝土的生產方式,其數量有限,不具備按統計方法評定混凝土強度的條件,可用非統計方法評定混凝土強度;用此法評定混凝土強度時,試件組數n≤9組成一個檢驗批,其強度應同時滿足下列公式的要求:
mfcu≥1.15fcu,k
fcu,min≥0.95fcu,k
式中:mfcu――同一驗收批砼抗壓強度的平均值,
fcu,k――砼抗壓強度標準值,
fcu,min――同一驗收批砼抗壓強度的最小值。
②當同強度混凝土試件不少於10組,可按照統計法進行混凝土強度的評定,其強度應同時滿足下列公式的要求
mfcu-λ1Sfcu≥ fcu,k
fcu,min≥λ2fcu,k
式中:Sfcu――同一驗收批砼抗壓強度的標準差,當Sfcu計算值小於0.06 fcu,k時,取Sfcu=0.06 fcu,k,λ1、λ2――合格性判定係數,按下表取值:
| 試件組數 | 10~14 | 15~19 | ≥20 |
| λ1 | 1.15 | 1.05 | 0.95 |
| λ2 | 0.90 | 0.85 |
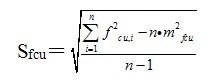
同一驗收批混凝土抗壓強度的標準差可按下式計算:
砼試塊強度評定式中:fcu,i――第i組砼試件的抗壓強度,n――一個驗收批砼試件的組數。
鑑定標準
相關規定
混凝土的強度檢驗評定應按照國家標準《混凝土強度檢驗評定標準》(GB/T 50107-2010)的規定進行。
砼試塊強度評定標準前言
本標準是根據原建設部《關於印發<二○○二—二○○三年度工程建設國家標準制訂、修訂計畫>的通知》(建標[2003]102號)的要求,標準編制組經廣泛調查研究,認真總結實踐經驗,參考有關國際標準和國外先進標準,並在廣泛徵求意見的基礎上,修訂本標準。
本標準修訂的主要內容:
1.增加了術語和符號;
2.補充了試件取樣頻率的規定;
3.增加了C60及以上高強混凝土非標準尺寸試件確定折算係數的方法;
4.修改了評定方法中標準差已知方案的標準差計算公式;
5.修改了評定方法中標準差未知方案的評定條文;
6.修改了評定方法中非統計方法的評定條文。
標準目錄
1 總則
2 術語和符號
2.1 術語
2.2 符號
3 基本規定
4 混凝土的取樣與試驗
4.1 混凝土的取樣
4.2 混凝土試件的製作與養護
4.3 混凝土試件的試驗
5 混凝土強度的檢驗評定
5.1 統計方法評定
5.2 非統計方法評定
5.3 混凝土強度的合格性評定
本標準用詞說明
引用標準名錄
附:條文說明

