簡介
力學現象的相似必須滿足幾何相似和力學相似兩種條件。以流體的流動為例,如果兩個流動系統的邊界形狀是幾何相似的,則稱這兩個流動系統幾何相似;如果在這兩個流動系統的時間和空間的對應點上,速度、壓力等的無量綱參量相等,則稱這兩個幾何相似的流動系統力學相似。兩力學現象的相似,意味著兩者間存在有可以互相比擬的內在關係。定量地表述這些關係就構成現象間的相似律。
相似變換
現象間規模的變異,數學上用“變換”描述,因此,尋求相似律跟量綱分析一樣,無非是確定變換下的不變性。不過,相似變換是從這一現象到另一現象的客觀、實質的過渡,而單位變換則指對同一現象採用不同度量標準的主觀變化。
兩個幾何相似圖形中所有對應的一切長度均成同一固定比值。長度比一旦確定,其餘對應的導出量,如面積、體積等也都會各有一固定比值。這些比值稱為相似比數。導出量的相似比數由基本量的比數按量綱式確定,例如面積和體積的相似比顯然必須等於長度比的二次方和三次方。所有長度量綱指數為零的無量綱量,例如對應的夾角,則在變換中保持不變,始終兩兩相等。但是,兩個圖形所有對應的夾角相等不能保證它們是完全幾何相似的。因為長度比如果不是在圖形的一切部分都相同,就只能構成局部相似。
兩個力學相似的物理現象中所有對應的有關力學量在對應點和對應時刻全都各自構成一定的比值。力學中一般可任選三個參量做為基本量。其餘各類導出量的相似比數顯然將按各自量綱式等於各基本量相似比的冪次積。例如長度比為4,時間比為2,對應速度的相似比就必然等於2。
由此可見,相似變換是若干個基本量的比例變換,只要變換比相同,在數學上就跟量綱分析中的單位變換毫無差異。由於力學現象的控制方程以及它的解在基本單位變換下不變,因此在相似變換下也會保持不變。
流動相似律
相似律的研究有兩種不同途徑:運用量綱分析和從流動的控制方程出發,兩者都可得到同一結論。
根據量綱分析,某一流動問題中所要研究的無量綱參量 f必然同問題中的其他無量綱參量存在下列關係:
相似律式中 α、 b、…為邊界(包括物體)的特徵尺度; x、 y、 z為空間點的坐標; t為時間; L、 T為特徵長度和待征時間; x、 x、…、 x為無量綱相似參數。函式Φ的具體形式由實驗或理論分析確定。由此可見,對兩個幾何梠似的流動系統(a/L,b/L,…相等)只要相似參數 x, x,…, x相等,在時間空間相似點(t/T,x/L,y/L,z/L)上,兩系統的無量綱參量必然相等,即這兩個流動系統是力學相似的。稱為相似準數。由於在相似準數相等的條件下,因變數之間存在著直接的換算關係,因此工程中廣泛使用與實物相似的模型進行實驗,以取得工程設計中所需的各種數據或探求具體工程技術問題中有關物理量間的定性關係。
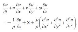
相似律也可以通過控制物理現象的基本方程進行研究。以粘性不可壓縮流體的流動為例,這種流動的控制方程是納維-斯托克斯方程,這方程在直角坐標系 x軸上的投影式為
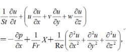
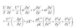
相似律式中 u、v、ω為流速在 x、y、z軸上的投影; p為壓力; X為場力在 x軸上的投影; μ為動力粘性係數;ρ為流體密度。對具體問題,可選長度 L、時間 T、流速 U、壓力ρv 、單位質量上的重力 g做為特徵量,把上式中每一個物理量寫成各自的特徵量乘--無量綱數,因而上式變為:
相似律式中u t ,…為各物理量與其特徵量的比值,是無量綱數。用 U/ L遍除上式各項並省略上標後,得到下式:
相似律式中 St= UT/L, Fr= U /gL, Re=ρUL/ μ,它們分別稱為斯特勞哈爾數、弗勞德數和雷諾數。如果兩流動系統的無量綱準數 St、Fr和 Re彼此相等,則控制兩流動系統的基本方程完全相同,從而兩流動系統完全相似。下表列出幾個常用的力學相似準數,並給出表示這些相似準數特徵的物理效應。
相似律表中 L為長度; μ為動力粘性係數; c為聲速; g為重力速度;σ為表面張力; k為熱導率; β為熱膨脹係數; Θ為溫度; λ為分子平均自由程; c為定壓比熱。
模型試驗的相似律
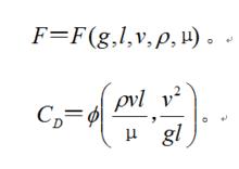
模型試驗是科學研究和工程技術中經常採用的一個極為重要的手段。其首要任務在於如何滿足相似律以確立模型與實體的相似性。飛行器、船艦等的風洞、水池試驗主要是探求實際運動中物體所將承受的周圍流體的作用力。因此,要求模型周圍的流場與實體周圍的流場完全相似。首先要選定長度比,製成比例模型,使固體邊界幾何相似;再選擇速度比等以保證一些無量綱參數相同。在控制方程未能建立和解出的情況下,這些做為判斷相似性的無量綱相似準數還可按 x定理(見量綱分析)確定。例如,船艦設計目標之一是尋求阻力最小的船形。船舶阻力包括摩擦阻力和興波阻力兩部分。前者指船體水下表面所承受的水流摩擦力;後者則因船前水面壅高、船後水面渦陷形成縱向壓差所致,所耗能量由波浪給以擴散。船波起伏,重力成為限制水面升降的恢復力,直接影響運動,故不能忽略。可見總阻力的大小 F取決於船長 l、船速 v、密度ρ 、動力粘性係數 μ以及單位質量的重力值g,
將上式按 x定理無量綱化就得到總阻力係數即
相似律上式指出,在船模阻力試驗中,如果雷諾數Re=ρvl/μ=vl/ν和弗勞德數 Fr= v/gl各自分別相等,則實船與模型的總阻力係數 C就會完全相同。對於實船和模型, Fr和 Re各自分別相等的條件是v/v=(l/l) ,下標p和m分別表示實船和模型。可見,若採用長度比為1/20的船模,則相似雙方液體的運動粘性係數 v之比必須是 v/ v=(1/20) =0.011。通常,水的運動粘性係數 v約為10 米 /秒,要同時滿足 Re和 Fr各自相等的完全相似,室溫下船池用水的運動粘性係數必須降低到 v≈0.011×10 米 /秒。這是實際上難於做到的。因此, Fr和 Re在實船和模型中各自分別相等的條件是不能同時滿足的。一般常維持 Fr在實船和模型中相等。這樣,在實驗測得的總阻力係數 C中,只有興波阻力係數與實船相同。假定雙方都是無粘性流體,故總阻力係數中僅有的興波阻力係數就與 Re無關。對此,可通過近似計算分別求出實船與模型的摩擦阻力係數,將兩者之差加進所測定的總阻力係數中,就得到實船的總阻力係數。
參考文獻
1.錢學森著:現代科學的結構——再論科學技術體系學,《哲學研究》,3月,1982。
2.詞條作者:江可宗《中國大百科全書》74卷(第一版)力學 詞條:流體力學 中國大百科全書出版社 ,1987 :509-511頁

