簡介
直剪試驗全稱 直接剪下試驗( Direct shear test),是土力工程中尋找土的抗剪強度的一種試驗。
方法
取土的試樣放入剪下盒內,將上盒固定,下盒可沿水平方向滑動。首先施加垂直壓力,然後在對剪下盒的下盒逐級施加水平剪力,直至試樣被剪壞。一般要取4-5個試樣,分別施加不同的垂直壓力來重複試驗。本試驗由於簡單易行,是測定土的抗剪強度的常用方法。
剪下強度
剪下強度(Shear strength)是工程學名詞,是一個描述物質對抗剪下力強度的專有名詞,也就是物質在承受剪下力時會出現降伏或是結構失效時的剪下力強度。剪下力是二個彼此平行,方向相反的力,當用剪刀剪紙張時,紙張就是因為剪下力而剪開。
在結構工程及機械工程中,設計許多零件或是結構的尺寸時,需要考慮材料的剪下強度,例如梁、淺基礎及螺絲都是要考慮剪下強度的零件。若是鋼筋混凝土梁,會用肋筋(Stirrups)來增強梁的剪下強度。
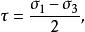
剪應力τ的計算方式如下
直剪試驗
直剪試驗
直剪試驗其中是最大主應力及是最小主應力
一般而言,延性材料(例如鋁)會因為剪下力而失效,而脆性材料(例如鑄鐵)會因為伸張力而失效,細節可參考極限抗拉強度。
若要計算剪下強度,假設失效的力是F,已知抵抗施力的面積(例如承受剪力的螺栓截面),極限剪下強度為:
直剪試驗
