簡介
異丁基
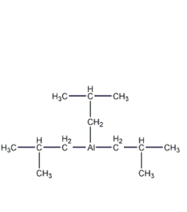
異丁基,是一種化學術語。結構式是H3C—CH(CH3)—CH2—。
異丁基報告摘要 甲基異丁基甲醇分子式: (CH3)2CHCH2CH(OH)CH3; C6H14OCAS號:108-11-2; 分子式:C6H14O別稱:4-甲...
甲基異丁基甲酮是一種化學藥劑,是一種優良的中沸點溶劑和化工中間體。
4-甲基戊酮-【2】 用途 製備方法 相關套用二異丁基硫醚化學物品,主要用於有機合成中間體和溶劑;液壓油溶劑;煤氣加臭劑;外用藥物滲透劑。
溶解情況 用途異丁基甲醇為一種化學品,英文名稱為isoamyl alcohol; isopentanol,由戊烷經氯化和水解後生成的混合醇,或由雜醇油分餾而製得。用於...
esium(1+) esium(1+) bromide
e;4-Methyl-1-pen 分子式:C6H12 分子量:84.12
"o;2
別名:異丁氧基乙烯、異丁基乙烯醚 ,用於聚合和共聚生產聚乙烯基醚,也用於塗料助劑。
