理化性質
甲磺隆
又稱:合力
甲磺隆ISO通用名稱:metsulfuron-methyl
分子式:C14H15N5O6S
毒性:低毒
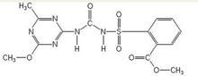
化學名稱:2-[(4-甲氧基-6-甲基-1,3,5-三嗪基-2-基 )脲基磺醯基]苯甲酸甲酯
甲磺隆原藥理化性質 無色晶體(原藥灰白色固體,略帶酯味),熔點158℃,密度1. 47g/cm3。25℃時在水中的溶解度:pH5時為0.55 g/L,pH7時為2.79g/L,pH9時為213g/L。20℃時在有機溶劑中的溶解度為:二甲苯0. 58glL,己烷0.79g/L,乙醇2.3g]L,甲醇7. 3g/L,丙酮36g/L,二氯甲烷121g/L。140℃以下在空氣中穩定,25℃時在中性和鹼性介質中穩定。
使用及注意事項
作用特點:本品為高活、廣譜、具有選擇性的內吸傳導型麥田除草劑。被雜草根部和葉片吸收後,在植株體內傳導很快,可向頂和向基部傳導,在數小時內迅速抑制植物根和新梢頂端的生長,3-14天植株枯死。被麥苗吸收進入植株內後, 被麥株內的酶轉化,迅速降解,所以小麥對本品有較大的耐受能力。本劑的使用量小,在水中的溶解度很大,可被土壤吸附,在土壤中的降解速度很慢 ,特別在鹼性土壤中,降解更慢。可有效地防治看麥娘、婆婆納、繁縷、巢 菜、薺菜、碎末薺、播娘蒿、藜、蓼、稻槎草、水花生等雜草。
作用方式:內吸傳導
注意事項:[1]施藥要特別注意用藥量準確,做到均勻噴灑。[2]該藥殘留期長,不應在麥 套玉米、棉花、菸草等敏感作物田使用。中性土壤小麥田用藥120天后播種油菜、棉花、大豆、黃瓜等會產生藥害,鹼性土壤藥害更重。因此限在長江 流域中下游麥稻輪作麥田, pH<=7中性或鹼性土壤中用。
中毒症狀:只要不大量攝入,不可能有全身毒性,對眼睛、皮膚、黏膜有輕微刺激作用。
急救:誤服清醒時催吐,無解毒劑。對症治療

