環路定理的分類
環路定理分為:
1、靜電場環路定理;
2、安培環路定理。
靜電場環路定理
在靜電場中,場強沿任意閉合路徑的線積分等於0。
與靜電場力作功和路徑無關是一致的,這種力場也叫保守力場或勢場 。
安培環路定理
定義
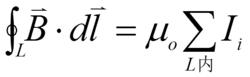
在真空中的穩恆電流磁場中,磁感應強度沿任何閉合迴路L的線積分,等於穿過這迴路的所有電流強度代數和的μ倍。
數學表達式
它的數學表達式是:
環路定理符號規定:穿過迴路L的電流方向與L的環繞方向服從右手關係時I為正,否則為負。
安培環路定理反映了磁場的基本規律。和靜電場的環路定理相比較,穩恆磁場中B 的環流 ,說明穩恆磁場的性質和靜電場不同,靜電場是保守場,穩恆磁場是非保守場 。
安培環路定律對於任一形狀的閉合迴路均成立。
B的環流與僅與閉合路徑內電流代數和有關,而與電流在其中的分布位置無關,但路徑上磁感應強度B是閉合路徑內外的電流共同產生。
安培環路定理的物理意義:磁場是非保守場,不能引入勢能。
套用
利用安培環路定理求磁場的前提條件:如果在某個載流導體的穩恆磁場中,可以找到一條閉合環路l,該環路上的磁感強度B大小處處相等,B的方向和環路的繞行方向也處處同向,這樣利用安培環路定理求磁感強度B的問題,就轉化為求環路長度,以及求環路所包圍的電流代數和的問題。
利用安培環路定理求磁場的適用範圍:在磁場中能否找到上述的環路,取決於該磁場分布的對稱性,而磁場分布的對稱性又來源於電流分布的對稱性。因此,只有下述幾種電流的磁場,才能夠利用安培環路定理求解。
1.電流的分布具有無限長軸對稱性
2.電流的分布具有無限大面對稱性
3.各種圓環形均勻密繞螺繞環
利用安培環路定理求磁場的基本步驟:
1.首先用磁場疊加原理對載流體的磁場作對稱性分析;
2.根據磁場的對稱性和特徵,選擇適當形狀的環路;
3.利用公式求磁感強度。
電勢
靜電場的標勢稱為電勢,或稱為靜電勢。在電場中,某點電荷的電勢能跟它所帶的電荷量(與正負有關,計算時將電勢能和電荷的正負都帶入即可判斷該點電勢大小及正負)之比,叫做這點的電勢(也可稱電位),通常用φ來表示。電勢是從能量角度上描述電場的物理量。(電場強度則是從力的角度描述電場)。電勢差能在閉合電路中產生電流(當電勢差相當大時,空氣等絕緣體也會變為導體)。電勢也被稱為電位 。

