瑞利準則
瑞利準則(Rayleigh criterion)表示了一個光學儀器的角分辨度(Angular resolution)。
衍射限制了透鏡的分辨度。透鏡的口徑,可以視為單狹縫的二維版本。經過狹縫的光波干涉,形成所謂的愛里衍射圖樣。這引致圖象模糊。圓孔衍射的光強可寫成:
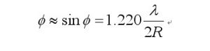
瑞利準則其中R是圓孔半徑,k = 2π / λ,λ是光波長。J1(x) 是貝塞爾函式。J1(x) = 0的最小正實數解是 x = 3.83,I(θ) = 0的最小正實數解就是
瑞利準則這表示了若透鏡和兩個物件之間的夾角少於θ,透鏡的觀察者便無法分辨出有兩個物件。
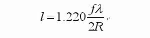
空間分辨度(spatial resolution):單鏡望遠鏡最小能觀察到的物件的直徑是
瑞利準則,其中f是焦距。
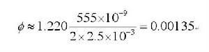
一般人的虹膜半徑約為2.5 mm ,肉眼對波長約為555 nm的光最敏感,可以得到:
瑞利準則在眼科醫生或配眼鏡時所用的驗眼圖(Snellen Chart),一般正常肉眼的視力,應在6m的距離看到8.8mm的圖象。
瑞利準則在射電望遠鏡陣中,若兩台射電望遠鏡之間的最大距離是B,則約有θ = λ / B。
