分集與空時編碼設計
1.1分集技術
1.時間分集
時間分集是指以超過信道相干時間的時間間隔重複傳送信號,以便讓再次收到的信號具有獨立的衰落環境,從而產生分集效果。相干時間是信道衰落過程相干的時間周期的統計測量值。在數字通信系統中,通常使用差錯控制編碼以獲得相對於未編碼系統的編碼增益。在移動通信中,一般使用差錯控制編碼結合交織技術來實現時間分集。在這種情況下,發射分集的副本通常以差錯控制編碼帶來的時域冗餘形式到達接收端。由時間交織提供發射信號副本之間的時間間隔,從而在解碼器的輸入端得到獨立的衰落。現在時間分集技術已經被大量地用於擴頻CDMA的Rake接收機中,以處理多徑信號。時間分集方案由於在時間域上引入冗餘,使得頻寬的利用率受到損失。
2.頻率分集
頻率分集方式在多於一個載頻上傳送信號。這項技術的工作原理是基於在信道相干頻寬之外的頻率上不會出現同樣的衰落。在理論上,不相關信道產生同樣衰落的機率是各自產生衰落機率的乘積。在移動通信中,發射信號副本通常按頻域冗餘的形式到達接收端。這種頻域冗餘是由直接序列擴頻(DSSS)、多載波調製和調頻等擴頻技術引入的。同時間分集一樣,由於在頻域上引入的冗餘,頻率分集也使得頻寬的利用率受到損失。
3.空間分集
在使用時間分集時,幾個相干時間周期上的交織和編碼是十分重要的。當有嚴格的時延限制或相干時間很大時,就無法實現。因此需要採用其他的分集方案。
天線分集也就是空間分集,通過在傳送方和/或接收方放置多個天線來實現,當天線放置的足夠遠時,不同天線對之間的信道增益差不多獨立,同時產生了獨立的信號路徑。天線距離依賴於當時的散射環境和載波頻率。例如移動台接近地面散射豐富時,信道在很短的空間距離下就可以達到不相關,典型的天線間距為半個到一個載波波長。對於位置比較高的基站來說,將需要幾個到十幾個波長的大的天線距離。
4.接收分集
接收分集是在接收端使用多根天線接收發射信號的獨立副本。合理合併發射信號的副本能夠降低多徑衰落的影響,並且提高總的接收SNR。傳統的智慧型天線系統採用最大比合併的方法來提高接收信號質量。接收分集最大的問題在於開銷、尺寸和功率較大,有時較難實現。例如在IS-136中,基站端使用多根天線建立上行(從移動台到基站)接收分集,補償移動台相對較低的發射功率。這樣做能夠提高上行鏈路的質量和變化範圍。但對下行鏈路(從基站到移動台)而言,移動台很難使用接收分集。首先,在較小的便攜移動台上不便於安裝兩根以上的天線。其次,多根接收天線意味著要採用多套射頻變頻器,因此需要更大的處理功率,而移動台功率是受限的。對於下行鏈路來說,比較實際可行的解決辦法是採用發射分集。近年來對發射分集的研究也成為熱點。
5.發射分集:空時編碼
發射分集的基本思想是通過在接收方採用適當的信號處理技術將傳送端的冗餘利用起來。現在考慮有L個發射天線和1個接收天線的情況。這在蜂窩系統下行鏈路中是很普遍的,因為在基站方放置多天線要比在移動台放置多天線要容易的多。它很輕易就能達到分集增益為L,只不過在L個符號間隔內L個不同的天線上傳送相同的符號就可以了。在任一時間,只有1個天線傳送。這就是簡單的重複編碼而已,但是,重複編碼是非常浪費自由度的。更普遍的方案是把時間分集中的差錯控制編碼套用到天線分集中。在一個時間段只用一個天線,在不同天線連續傳送經過時間分集編碼的編碼符號,這就是空時編碼(STC)的基本思想 ,這種設計方案帶來的好處是:空時碼可以在不犧牲頻寬的情況下實現發射分集和獲得一定的編碼增益;空時碼還可以和多根接收天線相結合以降低多徑衰落的影響,達到MIMO系統的容量 。空時碼分為空時分組碼和空時格線碼,這裡主要介紹空時分組碼 。
1.2空時碼設計準則
Alamouti碼的提出,觸發了人們對STC的研究熱情。但Alamouti碼也有其天然的局限性:如只能用在兩個發射天線系統中,不能擴展到更多天線,後續的研究將Alamouti碼增強並推廣到更多的天線 ,並由此產生了正交空時編碼 與準正交空時編碼 ,空時格形碼 ,差分空時編碼 及其相關增強技術 。
空時編碼的設計準則:
點對點MIMO技術
點對點MIMO技術 (1)矩陣秩準則:為了獲得最大的分集增益 ,矩陣誤差函式必須滿秩。若矩陣誤差函式出現秩虧缺,且其秩為r,則空時編碼的分集增益為 。
點對點MIMO技術 (2)行列式準則:若空時碼已經是全分集增益,則其編碼增益為 λ,即為矩陣誤差函式的行列式的值det[A(C,E)]。
上述兩個設計準則為空時編碼的設計與分析提供了良好的理論基礎,並為後續線性離散碼的研究提供了極為重要的設計參考。
空分復用技術
空間復用就是在接收端和發射端使用多副天線,充分利用空間傳播中的多徑分量,在同一頻帶上使用多個數據通道(MIMO子信道)發射信號,從而使得容量隨著天線數量的增加而線性增加。因此它在概念上是不同於空時編碼方法的。
2.1分層空時碼結構
D-BLAST結構是採用空時復用技術達到MIMO系統的理論容量的一個方案,由於它的複雜度高不易實現,Bell實驗室在1998年將這個體系進行了進一步的改進,提出了V-BLAST的新結構 ,如圖1所示。這種結構比之以前的結構簡單了許多,從而便於套用,同時它能達到很高的速率,在復散射、實際的信噪比以及較良性的環境下,它的頻譜效率能達到20~40bit/(s·Hz) 。
點對點MIMO技術 圖1V-BLAST結構框圖
2.2V-BLAST系統的檢測方法
1.最大似然(ML)檢測
眾所周知,ML檢測算法是最優的檢測算法,它將接收信號與所有可能的傳送信號矢量進行比較,然後依據最大似然原則估計出傳送的符號矢量s:
點對點MIMO技術 (3.30)
其中s是估計的符號矢量。最大似然檢測從所有的信號星座圖中尋找具有最大機率的傳送信號矢量 。然而,由於這種比較複雜度隨著傳送天線的增加呈指數增加,這在實際中是很難實現的。這是該方法唯一的缺點。
2.迫零檢測算法
點對點MIMO技術 在ZF檢測算法中,選擇權重矢量 ,使滿足如下條件:
點對點MIMO技術 (3.31)
點對點MIMO技術 其中(H)表示H的第j列。那么第i個子流的判決統計結果為 。即w必須正交於由y的各個未檢測分量張成的子空間。
3.MMSE檢測算法
4.QR分解檢測算法
基於QR分解(QRdecomposition)的檢測方法與上述串列干擾對消(SIC)算法本質上是一致的,但QR分解形成的上三角矩陣結構使該算法更為直觀,另外這種算法對於分析BLAST的檢測性能也很有作用。
點對點MIMO技術
點對點MIMO技術 QR分解可以將信道矩陣H分解成一個 列正交矩陣Q與一個 三角陣R的乘積[22],即:
H=Q.R (3.39)
用h表示信道矩陣H的第i列,q表示Q的第i列。
分集復用折中
面提到MIMO的兩種關鍵技術:V-BLAST技術和空時分組碼(STBC)技術分別具有空間復用增益和空間分集增益,研究表明這兩種技術之間存在著此消彼漲的折中關係。本節利用中斷公式根據分集增益與多路復用增益之間的折中刻畫了慢衰落MIMO信道的性能,之後利用這一折中作為統一框架對本書介紹的各種空時編碼方案進行了比較。
3.1標量瑞利信道
1.PAM與QAM
點對點MIMO技術
點對點MIMO技術 考慮慢衰落標量瑞利信道y=hx+n,其中,加性噪聲為獨立同分布CN(0,1)隨機變數,功率約束等於SNR。假定h服從CN(0,1)分布,考慮採用數據速率為Rbit/(s·Hz)的脈衝幅度調製(PAM)未編碼通信。平均差錯機率受到PAM星座點之間最小距離的控制,星座的變化範圍大約從 到 ,由於存在2 個星座點,所以最小距離近似為:
點對點MIMO技術 (3.46)
點對點MIMO技術
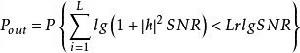
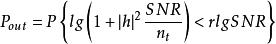
點對點MIMO技術 並且高信噪比時的差錯機率近似為 ,設數據速率為R=rlgSNR則有 。
於是得到的分集—多路復用折中為:
點對點MIMO技術
點對點MIMO技術 (3.47)
點對點MIMO技術
點對點MIMO技術 注意,在上述差錯機率的近似分析中,關注的是差錯機率對信噪比和數據速率變化的比例關係,但忽略了常數乘法器,就分集—多路復用折中而言,它們並不會產生什麼影響。對數據速率為R的QAM可以重複同樣的分析,此時在虛實二維各存在2 個星座點,因此最小距離近似為 。並且高信噪比時的差錯機率近似為 。
於是得到的分集—多路復用折中為:
點對點MIMO技術
點對點MIMO技術 (3.48)
折中曲線如圖2所示。
點對點MIMO技術 圖2單天線慢衰落瑞利信道的折中曲線
2.最優折中
未編碼PAM與QAM。標量信道本身的基本分集—多路復用折中如何呢?對於慢衰落瑞利信道而言,目標數據速率R=rlgSNR時的高信噪比中斷機率為:
點對點MIMO技術 (3.49)
點對點MIMO技術
點對點MIMO技術
點對點MIMO技術 其中,最後一步利用了如下事實,即對於很小的 ,在瑞利信道中有 。於是 。
因此,未編碼QAM方案實現了分集增益與多路復用增益之間的最優折中。
3.2並行瑞利信道
考慮慢衰落並行信道,其各子信道服從獨立同分布瑞利衰落。
點對點MIMO技術 l=1,L ,L(3.50)
其中,n為獨立同分布CN(0,1)加性噪聲,每路子信道的發射功率受到SNR的約束。L路瑞利衰落子信道提供的(經典)分集增益等於L,這就是對基本單天線慢衰落信道的L倍改善。按照前一節介紹的說法,這就是說d 。對於任意正的多路復用速率而言,分集增益如何呢?
假定每路子信道的目標數據速率為R=rlgSNR bit/(s gHz),最優分集d (r)可以利用終端機率隨信噪比增加而減小的速率來計算。對於獨立同分布瑞利衰落並行信道而言,每路子信道速率為R=rlgSNR 時的中斷機率為:
點對點MIMO技術 (3.51)
當各子信道無法支持速率R時,通常會出現中斷,可以得到:
點對點MIMO技術 (3.52)
因此包括L條分集支路的並行信道的最優分集—多路復用折中為。
即對於每個多路復用增益r,都是標量單天線性能的L倍,這一性能曲線如圖3所示。
點對點MIMO技術 圖3包括L路子信道的獨立同分布瑞利衰落並行信道以及重複傳送方案的分集—多路復用折中
3.3MISO瑞利信道
考慮包括Nt副發射天線與一副接收天線且係數為獨立同分布瑞利隨機變數的MISO信道:
y=h s+n (3.54)
與前面一樣,加性噪聲為獨立同分布CN(0,1)隨機變數,總的發射功率約束為SNR。我們已經看到包括N副發射天線的瑞利衰落的MISO信道提供的(經典)分集增益為N。當正的多路復用速率為r時,這一分集增益會增加多少呢?
研究目標數據速率R=rlgSNR bit/(s gHz)時的中斷機率就可以回答這個問題:
點對點MIMO技術 (3.55)
點對點MIMO技術
點對點MIMO技術 此時|h| 是自由度為2N的χ 隨機變數,並且 ,因此,p隨著信噪比的增大依 規律減小,獨立同分布瑞利衰落MISO信道的最優分集—多路復用折中為d (r)=N(1-r) r∈[0,1]。
於是,MISO信道在所有多路復用增益時提供的分集增益增大N倍。
3.42×2MIMO瑞利信道
對於2×2獨立同分布瑞利衰落的MIMO信道中4種方案與未編碼QAM結合使用時的分集—多路復用折中,如表1的總結以及圖4所示,採用的經典分集增益與自由度對應於圖中這些曲線的端點。
表1 經典分級增益與自由度對應關係
| 經典分集增益 | 所利用的自由度 | 分集—多路復用折中 | |
| 重複編碼 | 4 | 1/2 | 4-8r,r∈[0,1/2] |
| Alamouti | 4 | 1 | 4-4r,r∈[0,1] |
| V-BLAST(ML) | 2 | 2 | 2-r,r∈[0,2] |
| V-BLAST(nulling) | 1 | 2 | 1-r/2,r∈[0,2] |
| 信道本身 | 4 | 2 | 4-3r,r∈[0,1] 2-r,r∈[1,2] |
點對點MIMO技術 圖42×2獨立同分布瑞利衰落MIMO信道中4種傳送方案的分集—多路復用折中
3.5Nt×NrMIMO瑞利信道
考慮Nt×NMIMO信道獨立同分布瑞利衰落增益。數據速率為R=rlgSNR bit/(s gHz)的最優分集增益就是中斷機率隨SNR減小的速率:
點對點MIMO技術 (3.58)
點對點MIMO技術
點對點MIMO技術 雖然最優協方差矩陣取決於信噪比和數據速率,通常選擇作為實際中斷機率的良好近似。在折中曲線公式的粗略比例關係中,這一結論更為準確:式(3.58)中斷機率的減小速率與協方差矩陣為單位陣時的情況相同。因此,為了確定多路復用速率為r時的最優分集增益:
點對點MIMO技術 (3.59)
點對點MIMO技術 通過分析這個表達式,就可以計算出N×N獨立同分布瑞利衰落信道的分集—多路復用折中,即如圖5所示的連線以下各點的分段線性曲線:。
折中曲線簡潔地總結了慢衰落MIMO信道的性能。在r→0的一種極端情況下,所實現的最大分集增益N×N是以極低的多路復用增益為代價的;在r→n的另一種極端情況下,可以獲得全部自由度。然而系統此時非常接近快衰落容量,幾乎不存在對於慢衰落信道隨機性的保護,分集增益趨近於0。折中曲線連線著這兩個極端,並且提供了比這兩個極端點更全面的慢衰落性能圖示。例如,系統中增加一副發射天線和一副接收天線就可以使自由度min(Nt,Nr)增加1,這對應於使最大可能的多路復用增益增加1。折中曲線給出了關於系統優勢更為精煉的圖示:對於任意分集要求d而言,所能夠支持的多路復用增益增加1,這是因為這個折中曲線向右平移1。
點對點MIMO技術 圖5獨立同分布瑞利衰落信道的分集—多路復用折中
由於最優折中曲線是基於中斷機率的,所以要實現最優折中曲線理論上要求分組長度任意大。然而,實際上已經證明分組長度為l=N+N−1的空時碼可以實現這一曲線。
