簡介
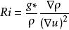
理查森數(Ri)以Lewis Fry Richardson(1881 - 1953年)命名。 表示浮力項與流剪下項的比值的無量綱數。在物理學上,理查森數用來表示勢能和動能的比值。在物理海洋學中,理查森數被用來研究海洋湍流,海洋混合;在大氣上,理查森數表示大氣靜力穩定度與垂直風切變的比值。它既考慮了大氣的熱力性質,又考慮了風切變的影響,是判斷中尺度對稱不穩定的近似判據。在分層的海洋中,理查森數用來判斷 動能和密度層化的相對重要性。 公式為:
理查森數
理查森數其中 g是重力,是密度, u是一個具有代表性的流速。
理查森數,在天氣預報、調查海洋、湖泊和水庫的密度及濁度電流方面具有實際意義。
理查森數當考慮密度差小的流(Boussinesq近似)時,通常使用減小重力,相關參數是密度理論理查森數,
理查森數在考慮大氣或海洋流量時經常使用。
如果理查森數遠遠小於1,浮力在流量中是不重要的。 如果它遠大於1,則浮力是主導的(在這種意義上,動能不足以使流體均勻化)。
如果理查森數是秩序統一的,那么這個流程可能是浮力驅動的:流量的能量源自系統中的潛在能量。
航空
在航空中,理查森數用作預期空氣湍流的粗略尺度。 較低的值表示較高的湍流程度。 值範圍為10到0.1是典型的,值低於1,表示明顯的湍流。
熱對流
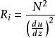
在熱對流問題中,理查森數字表示相對於強制對流的自然對流的重要性。 這個上下文中的理查森數字被定義為,
理查森數
理查森數
理查森數
理查森數其中g是重力加速度,是熱膨脹係數,是熱壁溫度,是參考溫度,L是特徵長度,V是特徵速度。
理查森數也可以通過使用Grashof數和雷諾數的組合來表示,
理查森數通常,當Ri <0.1時,自然對流可以忽略,當Ri> 10時,強制對流可忽略,而當0.1 <Ri <10時,強制對流可忽略不計。可以注意到,相對於自然對流,通常強制對流較大, 非常低的強制流速的情況。 在設計充滿水的熱能儲罐時,理查森數可以有用。
海洋學
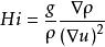
在海洋學中,理查森號碼有一個更普遍的形式,將分層考慮在內。 如Taylor-Goldstein方程所描述的,用於模擬由剪下流動驅動的開爾文 - 亥姆霍茲不穩定性的水柱中機械和密度效應的相對重要性。
理查森數其中N是Brunt-Väisälä頻率。
上面定義的理查森數字總是被認為是積極的。 N2的負值(即複數N)表示具有主動對流傾覆的不穩定密度梯度。 在這種情況下,負Ri的大小通常不是有意義的。 可以表明,Ri <1/4是速度剪下的必要條件,以克服分層流體保持分層的傾向,並且通常會發生一些混合(湍流)。當Ri大時,通常會抑制分層的紊流混合。

