
理論
玻色子:光子-內圖部結構模型圖 所有原子的量子態都束聚於一個單一的量子態的狀態被稱為玻色凝聚或玻色-愛因斯坦凝聚。1920年代,薩特延德拉·納特·玻色和阿爾伯特·愛因斯坦以玻色關於光子的統計力學研究為基礎,對這個狀態做了預言。2005年7月22日,烏得勒支大學的學生羅迪·玻因克在保羅·埃倫費斯特的個人檔案中發現了1924年12月愛因斯坦手寫的原文的草稿。玻色和愛因斯坦的研究的結果是遵守玻色-愛因斯坦統計的玻色氣體。玻色-愛因斯坦統計是描寫玻色子的統計分布的理論。玻色子,其中包括光子和氦-4之類的原子,可以分享同一量子態。愛因斯坦推測將玻色子冷卻到非常低的溫度後它們會“落入”(“凝聚”)到能量最低的可能量子態中,導致一種全新的相態。
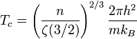
一個單純的三維的氣體的臨界溫度為(氣體處在的外部勢能是恆定的):

Tc 臨界溫度
n 粒子密度
m 每個玻色子的質量
h 普朗克常數
kB 玻爾茲曼常數
ζ 黎曼ζ函式:ζ(3 / 2) ≈ 2.6124.
發現
1938年,彼得·卡皮查、約翰· 艾倫和冬·麥色納(Don Misener)發現氦-4在降溫到2.2開爾文時會成為一種叫做超流體的新的液體狀態。超流的氦有許多非常不尋常的特徵,比如它的黏度為零,其漩渦是量子化的。很快人們就認識到超液體的原因是玻色-愛因斯坦凝聚。事實上,康奈爾和威曼發現的氣態的玻色-愛因斯坦凝聚呈現出許多超流體的特性。但一般氦-4不被看作是玻色-愛因斯坦凝聚,因為它是液態的,液態的原子之間的相互作用比較強,初始的玻色-愛因斯坦理論必須被強烈改變後才能用來描寫超液體。
最早的“真正”的玻色-愛因斯坦凝聚是康奈爾和威曼及其助手在天體物理實驗室聯合研究所於1995年6月5日製造成功的。他們使用雷射冷卻和磁阱中的蒸發冷卻將約2000個稀薄的氣態的銣-87原子的溫度降低到170nK後獲得了玻色-愛因斯坦凝聚。四個月後,麻省理工學院的沃爾夫岡·克特勒使用鈉-23獨立地獲得了玻色-愛因斯坦凝聚。凱特勒的凝聚較康奈爾和威曼的含有約100倍的原子,這樣他可以用他的凝聚獲得一些非常重要的結果,比如他可以觀測兩個不同凝聚之間的量子衍射。2001年康奈爾、威曼和凱特勒為他們的研究結果共享諾貝爾物理獎。
康奈爾、威曼和凱特勒的結果引起了許多試驗項目。比如2003年11月因施布魯克大學的魯道爾夫·格里姆、科羅拉多大學鮑爾德分校的德波拉·金和凱特勒製造了第一個分子構成的玻色-愛因斯坦凝聚。
與一般人們遇到的其它相態相比玻色-愛因斯坦凝聚非常不穩定。與外界世界的極其微小的相互作用足以使它們加熱到超出臨界溫度,分解為單一原子的狀態。因此在近時內不太可能為它們找到什麼實際套用。
用於降低光速
雖然玻色-愛因斯坦凝聚很難理解也很難製作,但它們也有許多非常有趣的特性。比如它們可以有異常高的光學密度差。一般來說凝聚的折射係數是非常小的因為它的密度比平常的固體要小得多。但使用雷射可以改變玻色-愛因斯坦凝聚的原子狀態,使它對一定的頻率的係數驟增。這樣光速在凝聚內的速度就會驟降,甚至降到數米每秒。
自轉的玻色-愛因斯坦凝聚可以作為黑洞的模型,入射的光不會逃離。凝聚也可以用來“凍結”光,這樣被“凍結”的光在凝聚分解時又會被釋放出來。
S·N·玻色
S·N·玻色〈Satyendra Nath Bose,1894-1974〉印度物理學家。玻色1915年畢業於加爾各答大學物理系。學習期間,他成績一直非常優秀,百分制的題目,老師常因為他獨到的見解給他110分。畢業後,他來到現在屬於孟加拉的城市達卡,在達卡大學任講師。
玻色做學問非常專心,但對其他事不聞不問。一次大物理學家尼爾·玻爾去達卡大學講演,玻色是主持人,坐在那兒聽,不一會兒兩眼就眯縫在一起,似睡非睡。玻爾講著講著“掛黑板”了,推不出一個式子,遂說:“玻色教授,你能不能幫個忙?”,這時大家轉過頭發現玻色的眼睛是閉著的,只見他不慌不忙地站了起來,在黑板上寫了一些式子,把問題解決了。完了以後,他又坐回自己的座位上半眯著。
玻色基本上屬於土生土長的科學家,做了這么多重要的工作,在西方如雷貫耳,但由於他行事低調,在印度還是不能得到承認,長期只是一個副教授。後來沒有辦法,他又給愛因斯坦寫了一封信,問能不能給他寫推薦信,幫助提升正教授。愛因斯坦非常驚訝,說你做了這么重要的事情,怎么還不是教授?愛因斯坦真誠的給他寫了推薦信。
後來玻色當上了達卡大學的物理系主任。1945~1956年玻色回到加爾各答大學,1949~1950年出任印度國家科學院院長,1958年當選為英國皇家學會會員,1974年卒於加爾各答。
其突出貢獻: 玻色-愛因斯坦凝聚。
20世紀頭20年,物理學界正在萌發量子力學的新興學科。在黑體輻射和光電效應的研究中誕生了量子的概念,光的量子被稱為光子。德國物理學家普朗克找到了一個經驗公式,很好地符合了黑體輻射觀測得到的曲線,但是他當時不能解釋這一經驗公式的物理含義。時光推到1924年,當時年僅30歲的玻色,接受了黑體輻射是光子理想氣體的觀點,他研究了“光子在各能級上的分布”問題,採用計數光子系統所有可能的各種微觀狀態統計方法,以不同於普朗克的方式推導出普朗克黑體輻射公式,證明了普朗克公式可以從愛因斯坦氣體模型導出。興奮之餘,他寫了一篇題為《普朗克準則和光量子假設》的文章投到英國的《哲學雜誌》,但被拒絕了。不得已,他把那篇只有六頁的論文寄給了愛因斯坦,期望愛因斯坦能理解他的發現。愛因斯坦立即意識到玻色工作的重要性,他親自將文章翻譯成了德文,幫助在《德國物理學報》發表了。之後,愛因斯坦把波色統計方法推廣到靜止質量不為零、粒子數不變的系統上,建立了量子統計學中波色—愛因斯坦統計。愛因斯坦將玻色的理論用於原子氣體中,於1924和1925年發表了兩篇文章,他推測到,在正常溫度下,原子可以處於任何一個能級,但在非常低的溫度下,大部分原子會突然跌落到最低的能級上,原來不同狀態的原子突然“凝聚”到同一狀態。後來物理界將這種現象稱為玻色-愛因斯坦凝聚。
在波色之前,傳統理論認為一個體系中所有的原子(或分子)都是可以辨別的,例如我們可以分辨氧原子、氫原子、碳原子。然而,玻色卻挑戰了上面的假定,認為在接近絕對零度的條件下,原子尺度上我們根本不可能區分不同的原子——所有的原子似乎都變成了同一個原子。原子會跌落到最低的能級上,就好像一座突然坍塌的大樓一樣。處於這種狀態的大量原子的行為像一個大超級原子,再也分不出你我他了!這就是物質第五態——玻色-愛因斯坦凝聚態。
然而,實現玻-愛凝聚態的條件極為苛刻和矛盾:一方面需要達到極低的溫度,另一方面還需要原子體系處於氣體狀態。後來物理學家創造出了稀薄的金屬原子氣體,這種金屬原子氣體有一個很好的特性:不會因製冷出現液態,更不會高度聚集形成常規的固體。後來,又由於雷射冷卻技術的發展,人們可以製造出與絕對零度僅僅相差十億分之一度的低溫,並且利用電磁操縱的磁阱技術可以對任意金屬物體實行無觸移動。這樣的實驗系統經過不斷改進,終於在玻色—愛因斯坦凝聚理論提出71年之後的1995年6月,兩名美國科學家康奈爾、維曼以及德國科學家克特勒分別在銣原子蒸氣中第一次直接觀測到了玻愛凝聚態。這三位科學家也因此而榮膺2001年度諾貝爾物理學獎。
