在熱聲熱機套用當中,熱穿透的特徵尺度是一個重要的參數,人們常常會利用某些氣體的特性來提高熱穿透深度和粘性穿透深度的比例,從而降低粘度的影響程度,提高熱聲熱機的效率。
熱聲板疊的間距是熱聲機設計中的一個重要參數,其值決定了板疊壁與工質氣團間的熱接觸性質,也是激發熱聲振盪的重要條件,根據駐波型熱聲振盪原理,合適的板疊間距,應導致工質氣團與固體壁面具有不良的熱接觸,以形成傳熱溫度的滯後。分析表明,平板之間的距離宜採用大約幾倍熱穿透深度值。
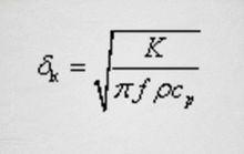
公式圖中公式里,K為氣體的導熱率, ρ為氣體的密度; c 為氣體的比定壓熱容; f為聲振盪頻率。由於熱聲板疊的間距與工質氣體的熱穿透深度具有大致相當的數值,氣體在板疊中的膨脹和壓縮不可能處於等溫狀態,而是處於等溫和絕熱之間的某種狀態,這是因為氣團在板面上振動,將板上的熱量吸收或將熱量傳給板面的過程是在熱穿透深度厚的邊界層中發生的,由於粘滯導致的傳熱阻抗,通過該邊界層的傳熱需要一定的時間,結果在壓力和時間有一個時間相位滯後。
換句話說就是處於兩平板間距中間處的氣團近乎在進行絕熱壓縮和膨脹,產生較大的溫度震盪;而接近平板壁的那些氣團則由於傳熱幾乎處於等溫壓縮和膨脹,在該區域氣體只有很小的溫度振盪。結果,在徑向氣團的溫度不但是分層的,而且溫度對壓力存在頗大的滯後。
