簡介
太陽得熱係數既包括直接透過的部分,也包括吸收後放出的熱量。由透光圍護結構的傳熱機理可知,通過透光圍護結構而成為室內得熱的太陽輻射包括兩部分:一部分是太陽光直接通過透光圍護結構的得熱;另一部分是被圍護結構吸收的得熱經導熱、對流與輻射的熱傳遞而形成室內的得熱。
太陽能總透射比表征的得熱量包括兩部分,一部分是直接透過玻璃進入室內的太陽輻射熱,另一部分是玻璃及構件吸收太陽輻射熱後,再向室內輻射的熱量。這裡,太陽輻射熱的波長包括從300nm到2500nm的全波長範圍。太陽能總透射比的計算公式:g=τ+q
式中,g——表示試樣的太陽能總透射比,%;
τ——表示試樣的太陽光直接透射比,%;
q——表示試樣向室內側的二次熱傳遞係數,% 。
《民用建築熱工設計規範》GB 50176中規定的太陽得熱係數(SHGC)的計算公式如下:
太陽能得熱係數式中:
g——透光部分的太陽光總透射比;
A——透光部分面積(m
ρ——非透光部分的太陽光吸收比;
K——非透光部分的傳熱係數[W/(m *K)];
α——非透光部分外表面對流換熱係數[W/(m*K)];
A——非透光部分面積(m
A——透光與非透光的面積之和(m );
該公式等號右邊分為兩個部分,其中Σg*A/A為透光部分的得熱,即為玻璃得熱;Σρ*K/α*A/A為非透光部分的得熱,一般是門窗或幕牆的型材、膠與五金件等的得熱。
SHGC用來確定通過玻璃窗的太陽輻射得熱。某些特定光譜和入射角的SHGC應當連同傳熱係數和其它能量性質包括在內。由於光學性質穿透比和吸收比隨入射角而變化,根據SHGC的定義式,太陽得熱係數是入射角的函式。一旦對特定入射角的太陽輻射強度和SHGC已知,太陽得熱可用下式計算:
q=SHGC*E
其中:q是單位面積的太陽得熱(W/m ),E是太陽輻射強度(W/m )。
玻璃的光學性質也會隨波長而改變,穿透比和吸收比是光譜平均值。太陽得熱係數值是基於氣團比(實際觀測到的日光路徑與標準大氣壓下觀測者處於海平面且太陽位於天頂時的日光路徑之比)為1.5的標準光譜分布。該光譜是美國國家門窗評價委員會為了使用規定的環境和入射輻射條件評價門窗的能量性能而推薦採用的。對於實際的太陽得熱計算條件或者玻璃表現出光譜選擇性,採用的投射太陽光譜應當根據標準光譜加以修正,這樣就更符合當地的大氣條件以及計算時刻。
標準光譜與在不同的大氣條件和太陽入射角時投射到門窗的太陽光譜分布是不相同的。這種差異對於沒有強烈光譜選擇性的玻璃來說,影響是很小的。但是具有強烈光譜選擇性的玻璃會有跟標準光譜不同的太陽得熱係數值。可見光穿透比對太陽光譜變化並不敏感。然而,對於在可見光部分具有十分強烈光譜選擇性的玻璃來說,可見光穿透比對入射光譜形態同樣敏感。
檢測方法
熱箱法,就是在實驗裝置投入實際檢測工作之前,找出通過熱計量箱箱壁的熱流與壁內外表面溫差的函式關係式。進行熱計量箱標定時,原本安裝窗的地方安裝一塊標定板(標定板的材料與熱計量箱壁板材料相同),可以在一定條件下同時測量箱壁面溫差與箱壁熱流,通過設定不同的工況,在坐標圖上能夠得到多個溫差與熱流的對應點,經過數學處理就能整理出通過箱壁的熱流與箱壁內外表面溫差的函式關係。熱計量箱置於一個可以活動的實驗室房間內,進行標定實驗時房間關閉,便於提供恆定的標定工況,實際測量時推開房間,使熱計量箱暴露於室外環境,能夠進行窗太陽得熱係數實驗。熱計量箱經過標定以後,就可以根據測量得到的箱壁溫差值求出通過箱壁的熱流。
使用熱箱法測量窗的SHGC時,主要部件可以概括為:
(1) 熱計量箱、圍護板及吸收板:圍護板是用來將測試窗安裝在熱計量箱上,材料與熱計量箱壁板相
同;吸收板用於防止陽光直接照射到熱計量箱的內壁。
(2) 水循環及製冷系統:水循環及製冷系統主要包括水泵、膨脹水箱、風機盤管、冷凝機組、板式換熱器、膨脹閥、流量計等。
(3) 控制系統。
太陽能得熱係數節能分析
在嚴寒地區,由於緯度較高,正午太陽高度角較低,直接照射到建築的太陽能較少,全年一般公考慮供暖,而不考慮供冷,所以在嚴寒地區,太陽得熱係數不做限值要求;在其他地區,由於需要考慮夏季供冷,建築透光圍護結構(門窗或透光幕牆)的太陽得熱係數必須要加以限制,以降低建築通風與空調運行負荷,減少建築能源消耗。
透光圍護結構的太陽得熱係數由透光部分的得熱與非透光部分的得熱組成,為限制其太陽得熱係數在設計要求或技術要求之下,需對透光部分與非透光部分的得熱進行限制:
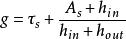
(1)透光部分,一般為玻璃,其得熱主要與玻璃的太陽光總透射比有關,而太陽光總透射比由下式計算得到:
太陽能得熱係數式中:τ——透光部分面積太陽光直接透射比;
A——透光部分面積太陽光直接吸收比;
h——透光部分內表面對流換熱係數[W/(m *K)];
h——透光部分外表面對流換熱係數[W/(m *K)]。
太陽能得熱係數
太陽能得熱係數
太陽能得熱係數由此可見,太陽光總透射比由兩部分組成,一部分為太陽光直接透射,另一部分為太陽光直接吸收中向室內傳熱的部分。因此,為限制太陽光總透射比,須對太陽光直接透射與直接吸收進行限制。對於透光圍護結構而言,太陽得應儘量降低,但對於其中的透光部分,即玻璃,並不能一味降低其得得熱,這部分的得熱需控制在一定的範圍,即太陽光總透射比不能太低也不可太高。太陽光總透射比太高,透光圍護結構的太陽得熱係數增大,加大了通風與空調系統運行負荷,使建築能耗增加;而太低的太陽光總透射比,雖然使透光圍護結構的冷負荷減少了,但是太低的太陽光總透射比會導致其可見光透射比降低,建築室內不能有效採用,不僅影響生產生活,而且有時還可能因為無法有效採光導致在白天需要打開照明燈具而進行生產生活,反而更加重了通風與空調系統的運行負荷,所以為兼顧透光部分的得熱與採光效果,對玻璃的選擇應較為慎重,下面通過三種工程上常見的玻璃品種的光譜圖進行節能分析。
由三種不同玻璃品種的光譜圖及表1可以看出,無色透明玻璃對可見光與紅外光,透射相當高(70%以下),對室內採光而言,是沒有問題的,但其太陽得熱非常顯著;陽光控制鍍膜玻璃透射較低,對室內採光影響較大,且其對可見光與紅外光的吸收為三者中最髙,由此而產生的對室內的二次傳熱較大,但其得熱較無色透明玻璃還是有所降低;低輻射鍍膜玻璃,其對可見光與紅外光的反射為三者是最高,可有效降低其得熱,同時對可見光的透射處於中等水平,又能夠保證生產生活的瓶度。
太陽能得熱係數⑵非透光部分,一般是組成門窗或透光幕牆的鋁合金型材、膠及相關的五金配件等,主要的影響其得熱的部件是鋁合金型材,其得熱的影響因素為:太陽輻射的吸收比與傳熱係數。鋁合金型材的太陽輻射吸收比顯而易見對其得熱影響較大,應最大限度地降低太陽輻射吸收比,即應最大限度得提髙鋁合金型材的建築外表面壁的太陽輻射反射比,可採用表面有經噴塗或漆膜的鋁合金型材;因為鋁合金型材導熱係數較大,熱阻較小,為降低其傳熱係數,建議選取鋁合金隔熱型材,以阻斷室外向室內的傳熱,降低建築房間通風與空調冷負荷。
研究現狀
國外已經對窗的太陽得熱情況和太陽得熱係數的測定進行了一些研究工作,在測定條件、儀器設備、測定流程、計算步驟等方面形成了初步的理論體系,並且已經制定了暫行的標準。美國材料測試學會(American Society for Testing andMaterials,ASTM)發布的標準中,提出用保護熱板法或熱流計法測量通過試件的熱流及材料的熱物理性質、用熱箱法測量窗的傳熱係數或建築組件的熱性能等一系列測量材料物理性能的方法。
ASHRAE標準中提出了溫度測量的標準方法、確定太陽能收集器性能的測試方法。美國國家門窗評價委員會借鑑了美國材料測試學會和ASHRAE標準中的一些方法,並在這些方法的基礎上提出了在陽光垂直投射時測量窗太陽得熱係數的步驟、測定玻璃材料太陽光學性質的方法。但是美國國家門窗評價委員會採用的測量窗太陽得熱係數的方法也還是暫行的,仍然有待於進一步的改進和完善,關於窗太陽得熱係數測量的實際設備的相關資料也並未公開。國際標準化組織(ISO)制定的標準《ISO 9060 測量半球太陽輻射和直射太陽輻射儀器的規格和類別》中給出了測量太陽輻射的方法,《ISO 15099 窗、門和遮陽設施熱性能的詳細計算》中給出了適合計算機編程的熱工計算的具體方法。這些標準的發布為採用實驗的方法測量窗太陽得熱係數奠定了良好的基礎。目前,美國和加拿大已經建立了窗年度能耗等級評價體系(Window Annual Energy Rating System)。所謂窗能耗等級評價體系即對供暖季和製冷季,分別把窗的太陽得熱係數、傳熱係數等綜合成一個統一參數,由它來評價窗的熱工性能。美國和加拿大的兩個體系分別給出一個數字評價供暖季與製冷季各種窗戶的能耗等級,並限制在低層住宅中使用。
國內高等院校對窗遮陽係數的測量進行過研究和實驗嘗試,華南理工大學的研究人員針對夏季工況提出測量窗總熱阻值和遮陽係數值的動態防護熱箱方法,並用該方法實際測試了廣州地區某住宅西向外窗,對現場動態測定窗的節能參數進行了探索,並取得了初步的成果。但國內在窗太陽得熱係數測量研究方面發表的文章很少,國內也還沒有測量窗太陽得熱係數的實驗設備。總體來說,國內在這方面的研究還比較滯後。

