熱磁效應
正文
亦稱磁場熱效應,指由外加磁場或物質內部磁狀態改變引起的該物質熱性質(如熱導率、溫度梯度)或電性質(如溫差電勢)的變化,或由於熱或熱流引起的物質磁性的變化。利用這類效應可以研究某些物質的能帶結構、傳導機制或獲得超低溫度。一般包括以下幾種效應。厄廷好森-能斯脫橫效應 當導體或半導體受到磁場(Hz)和與之垂直的產生熱流(It)的溫度梯度(媉T/媉x)同時作用時,在垂直前兩者的方向產生電場(Ey)的現象(圖a),其關係為
(1)
熱磁效應里紀-勒杜克橫效應 當導體或半導體受磁場(Hz)和與之垂直的產生熱流(It)的溫度梯度(坸T/坸x)同時作用時,在垂直前兩者的方向產生溫度梯度(дT/дy)的現象(圖c),其關係為
(2)
里紀-勒杜克縱效應 當導體或半導體受磁場(Hz)和與之垂直的產生熱流(It)的溫度梯度(坸T/坸x)同時作用時,在熱流方向發生熱阻改變(ΔRt)的現象(圖d),其關係較為複雜。
上述四種磁熱效應與磁場電效應(如霍耳效應、磁致電阻效應)是相似的。
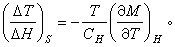
磁熱效應 亦稱磁卡效應或磁致溫差效應,指強磁或順磁物質中伴隨磁化強度改變而發生的可逆溫度變化,這與由磁滯引起的不可逆加熱效應(溫度變化)不同。由熱力學可以證明,當磁場絕熱變化ΔH時,在強磁或順磁物質中引起的可逆溫度變化ΔT與這物質的定磁場熱容CH、定磁場M溫度係數(坸M/坸T)H和溫度T 的關係為
(3)

