無窮粒子隨機系統
正文
描述無窮粒子系統的隨機場及隨機過程。相變問題是平衡態統計物理中一個很重要的問題。經典的處理方法是研究有限粒子系統的吉布斯態(平衡態)的某些函式(如序參數、比能等)當系統擴張成無窮粒子系統時的性質,從而得到有關相變的結論。由於相變問題本質上是無窮粒子系統的一種集體現象,20世紀60年代後期一些學者用現代機率理論直接定義無窮粒子系統的吉布斯態(吉布斯隨機場)。70年代初以來,又陸續提出了一些類型的馬爾可夫過程作為吉布斯態的動態模型,這就是無窮質點馬爾可夫過程。
吉布斯態 它是描述無窮粒子系統的一種機率分布,為易於理解,以伊辛模型為例來說明。
全體n維整點集記作Zn,設S是Zn的有限子集(參數集),它表示粒子所在的位置,每一u∈S處的粒子的狀態ηu=+1或-1,對任何u,v∈S,u≠v,有一數J(u,v)≥0(J (u,v)=J(v,u))與之對應,它表示u、v兩處的粒子相互作用的強度,這就是 S上的一個伊辛模型。稱集
(ηu取定 +1或-1)是整個系統的一個組態(樣本點),系統的全體組態集(樣本空間)用x表示,令 
決定x上的一個機率測度,其中
β>0為常數。機率μ 稱為由J(u,v)決定的(有限)S上的伊辛模型的平衡態,或稱吉布斯態。如果令
,,xu為取值±1的隨機變數,μ為隨機向量{xu:u∈S}的一個機率分布。類似地,對S的任何非空子集Λ, 集
(ξu取定+1或-1)表示Λ上的子系統的組態,Λ上的子系統的全體組態集用x(Λ)表示。經過計算可得: 命題 在S \Λ上的組態為ξ(∈x (S\Λ))的條件下,Λ上的組態ξ(∈x(Λ))的條件機率等於

,ξ∪ξ為S上的組態。 這一命題啟示了直接定義S=Zn上的伊辛模型的吉布斯態的途徑。直觀地說,它就是x上具有命題所述性質的機率測度μ,即對Zn的任何有限子集Λ,在Zn\Λ上組態為ξ(∈x(Zn\Λ))的條件下,Λ上的組態ξ(∈x(Λ))關於μ的條件機率為由(1)定義的μΛ({ξ};ξ)。它的嚴格數學定義如下:設S=Zn,x,x(Λ)的定義仍如上,其中Λ不一定有限,J (u,v)還滿足條件
。於是對S的任何有限子集Λ及ξ ∈x(Λ),ξ∈x (S \Λ),可按(1)定義μΛ({ξ};ξ),對給定的ξ ∈x (S \Λ),它是x (Λ)上的機率測度。再令 F為包含一切形如 {ξ∪ξ:ξ∈x(S\Λ)}(ξ ∈x (Λ),Λ為S的有限子集)的組態集的最小σ域,它表示組態的事件σ域;對給定的Λ嶅S,F(Λ)為包含一切形如{ξ∪ξ∪ω:ξ∈x (Λ1),ω ∈x(S\Λ)}(其中
為有限集,ξ∈x(Λ\Λ1))的組態集的最小σ域,它是F中那些在Λ上就能觀察到的組態事件組成的σ域。設μ 為F上的機率測度,如果對S的任何有限子集Λ,任何ξ∈x (Λ),條件機率(見條件期望)
(2)
如果令
則xu是(x,F)上取值±1的隨機變數,F(Λ)是隨機變數族{xu: u∈Λ}所產生的σ域,吉布斯態μ是隨機過程{xu:u∈S}的分布,對S的任何有限子集Λ,任何ξ∈x(Λ),
(2┡)
伊辛模型的吉布斯態總是存在的m它與函式J(u,v)及參數β有關,但是對給定的J及β,它未必惟一。如果對給定的J,存在βc∈(0,∞),使當β<βc時,吉布斯態惟一,當β>βc時,吉布斯態不惟一,則稱此伊辛模型有相變,βc稱為它的臨界點。
從這樣定義的吉布斯態出發,可以證明用經典方法得到的一些物理結果:①設J(u,v)=J(0,u-v)對一切u,v∈S,u≠v成立,若存在r>0使對一切u∈S且│u│=1有J(0,|u|)≥r,則當n≥2時,伊辛模型有相變。②若當|u-v│=1時J (u,v)=1,當│u-v│≠1時J(u,v)=0,則稱相應的伊辛模型為緊鄰的。緊鄰伊辛模型當 n=1時無相變,當n≥2時有相變;當n=2時,βc已算出(這是L.昂薩格1944年得到的一個著名結果),而對n≥3的情形,βc的值還不知道。求出 n=3時的βc值是一個重要而未解決的問題。關於伊辛模型還有很多沒有解決的、在數學上值得研究、在物理上有意義的問題。
不限於伊辛模型,按照(2)的方式還可以定義十分廣泛的吉布斯態與正則吉布斯態以及相變的概念,大部分平衡態統計物理的模型都可以納入這個框架,而且已經得到它們的存在性與惟一性的一些條件。相變問題的研究尚有待深入。
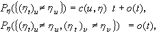
無窮質點馬爾可夫過程 從統計物理來看,作為無窮粒子系統的平衡態的吉布斯態應該是系統的某一可逆物理過程的定態。因此在機率論中提出了如下形式的問題:是否存在以(x,F)為狀態空間的馬爾可夫過程{ηt:t≥0},它的分布滿足下列要求:①對任何u,v∈S,u≠v,η∈x,當t→0時,有
(3)
;②F上的機率測度 μ是伊辛模型的吉布斯態,若且唯若以 μ為初始分布的該過程是一個時間可逆的馬爾可夫過程。所謂時間可逆就是當時間“倒轉”時,過程的分布不變,即對任何
任何Bk∈F,k=0,1,…,l,都有
。 這個問題已經解決。對更一般的с(u,x),由(3)決定的馬爾可夫過程稱為自旋變相(或稱生滅型)過程,它與排他(或稱粒子運動型)過程是最早提出的兩類無窮質點馬爾可夫過程。對自旋變相過程與排他過程的上述問題(可逆性問題),已經得到接近完整的結果;近年來,中國學者在這方面進行了工作。 無窮質點馬爾可夫過程雖然是由平衡統計物理引起的,但近年來不斷提出了新的模型。這些模型涉及非平衡統計物理、化學、生物、醫學以及社會科學。它的研究已進入非平衡系統的範圍,遍歷性理論是它的主要研究方向。這是機率論中一個值得注意的正在發展的新分支。
參考書目
陳木法著:《跳過程與無窮粒子系統》,北京師範大學出版社,北京,1986。
普雷斯頓著,嚴士健等譯:《隨機場》,北京師範大學出版社,北京,1983。(C.Preston,Rαndom Field,Lecture Notes in Mαthemαtics534,Springer-Verlag,Berlin, 1956.)
D.Ruelle,Stαtisticαl Mechαnics:Rigorous Results,W.A.Benjamin, Reading Mass.,1969.
Ya.G.Sinai,Theory of Phαse Trαnsitions:Rigorous Results, Pergamon Press, London,1982.
T.Liggett,Interαcting Pαrticle Systems,Springer-Verlag, New York,1985.

