廣義定義
在工程技術上的有源和無源其意思與電路中的含義差不多,不過此時的“電源 ”則是廣義的,即指是否含有“電動勢”的電路。比如,線上路上,除了供電電源以外,是否包含有電動機 、線圈 、電容器 等儲能元件。由於電動機、線圈、電容器等在供電電源斷開後,還存在著一定的電動勢,能夠為其它電路元件提供電能,因此包含有電動機、線圈、電容器等儲能元件的電路就稱為有源,若不包含則稱為無源。
簡單的講凡包含有電子器件(如電子管、電晶體、積體電路等)的電路就是有源電路,而不包含這些器件只是由RCL等基礎元件組成的電路就屬於無源電路。
狹義定義
無源電路
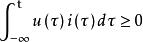
無源電路對於關聯參考方向下的一連線埠網路來說,設其連線埠 電壓,電流。如果對於任意的 t都有
無源電路則稱該電路為無源電路,否則稱其為有源電路。 任何二端元件均可看作一連線埠網路,因此也可根據上式定義無源元件或有源元件。
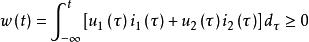
無源電路設一個二連線埠電路連線埠處電壓電流取關聯參考方向,假定 t→時電路無儲能,如果對任一瞬時 t輸入二連線埠的能量為
無源電路則稱該二連線埠為無源二連線埠。否則,為有源二連線埠。根據以上的定義可有如下推論: 獨立源和理想運算放大器均為有源元件,電阻參數為負值時為有源元件,電阻參數為正值時為無源元件。
根據以上的定義和推論,進一步可有如下推論: 對於由多個元件組成的不含獨立電源的二端電路, 稱其為無源電路的前提是其等效電阻為正值,稱其 為有源電路的前提是其等效電阻為負值。對於不含獨立電源的二連線埠電路,滿足上式的為無源二端 口,不滿足上式的為有源二連線埠。
在電路教材以及其他的電路理論文獻中,經常 會出現有源電路和無源電路這樣的術語。但在中文文獻中,不同的文獻,或同一文獻涉及不同內容時,使用這些術語隱含的內容有差異。例如,在二連線埠 電路部分,有些文獻將不含獨立源的電路稱為無源電路,而有些文獻將不含獨立源和受控源的電路稱為無源電路; 在疊加定理和戴維南定理部分,一般的文獻均將電路中是否含有獨立源作為有源電路和無源電路區分的標準,一般不考慮電路中是否存在受 控源。反過來,文獻中作為前提條件使用無源電路一詞時,有的意指電路中既不包含受控源也不包含獨立源,有的則意指電路中不包含獨立源但包含有 受控源。這樣,造成了我們在表述時,對同一術語存在兩種理解,或同一情況下兩個術語都在用的情況。
在電路理論範疇,如果給出了電路的具體結構, 術語使用不當雖然不至於產生問題; 但在沒有給出電路的具體結構而僅給出相關術語的情況下,由於術語本身存在歧義,容易使人們產生理解上的錯誤。
理想與實際有源無源電路區別
( 1)有源電路和無源電路術語在理想電路和實際電路中的含義有所不同。因此,理想電路應使用理想有源電路和理想無源電路術語,實際電路應使用實際有源電路和實際無源電路術語。在不會造成不良後果的情況下,方可將理想有源電路和實際有源電路術語統一簡稱為有源電路,將理想無源電路和實際無源電路術語統一簡稱為無源電路。
( 2) 實際有源電路和實際無源電路術語的定義是明確的,同實際電路的對應是直接的; 理想有源電路和理想無源電路術語的定義是明確的,但在電路中是否存在有源元件方面,與電路模型之間不能建立明確的對應關係,容易引起歧義。因此,在電路教材以及其他的電路理論文獻中,應小心使用有源電 路和無源電路這樣的術語。在必要時應使用有獨立 源電路、無獨立源電路、無獨立源有受控源電路和無 獨立源無受控源電路等術語,以避免產生問題。
工程中有源和無源電路的判斷
在電子電氣工程領域,與電路理論( 模型) 中的 情況有所不同。工程領域中,把運算放大器和三極體等需外接直流電源才能正常發揮作用的器件稱為有源器件,把包含有源器件的電路稱為有源電路,把不包含有源器件的電路稱為無源電路。工程領域中 使用有源電路或無源電路術語,含義是明確的,與電路的構成( 電路中有無有源器件) 有直接的對應關係,這一點與電路理論( 模型) 中使用有源電路或無源電路術語時存在的情況是不同的。
工程領域中的有源電路和無源電路術語同電路理論中的有源電路和無源電路術語是有差別的。這種差別源自於實際中的有源電路和無源電路同理論上的 有源電路和無源電路的差別。部分原因就是由於把工程領域中的術語與電路理論中的術語混為一談造成的。

