潮信表配置意義
隨著我國沿海港口建設的飛速發展,港口數量大幅增加,沿岸水深測量數據更新變化加快,可供製圖人員選擇的港站潮汐信息量日益加大,於是,配置潮信表時會存在隨意選擇驗潮站的類別與數量、海圖深度基準面與潮高起算面不一致的情況下潮信數據準確改算以及如何高效簡潔表達潮信和快捷推算潮汐等問題。本文針對這些問題探討了潮信表圖面配置的選取原則和表示方法,並借鑑外版海圖潮信表的圖面配置形式,提出了部版海圖潮信表的改進形式和潮汐推算手段。對於在航海圖上準確合理地配置潮信表,簡便清晰地反映港站潮汐狀況,發揮航道通航效益,保障航海安全具重要的現實意義。
傳統配置形式與原則
海圖上配置的潮信表是記載某地高低潮間隙、大小潮升、高低潮潮高和平均海面等潮汐特徵數據的專用表。不同國家出版的海圖有不同的配置形式。
部版海圖潮信表配置形式
部版海圖上的潮信表按照潮汐性質可以分為半日潮、混合潮和日潮三種類型。在GB12319-1998《中國海圖圖式》規定了各類潮信表的配置形式,其中,半日潮和混合潮的潮信表形式見圖 1、圖 2;日潮潮信表包含內容與混合潮相近,但在月赤緯最大時沒有低高潮和高低潮的相關信息,而表格形式也與圖 2 相同。
圖1 半日潮潮信表
圖2 混合潮潮信表外版海圖潮信表配置形式
英版海圖潮信表分為半日潮和日潮及混合潮兩種類型,前者表示了某地海圖基準面以上的平均大潮高潮高(MHWS) 、平均小潮高潮高(MHWN) 、平均小潮低潮高(MLWN) 、平均大潮低潮高(MLWS) ;後者表示了平均高高潮高(MHHW) 、平均低高潮高(MLHW) 、平均高低潮高(MHLW) 、平均低低潮高(MLLW) 。具體表格形式見圖 3。
圖3 英版海圖 928 中配置潮信表美版海圖潮信表與英版海圖規定的圖式相同,但在實際圖面配置過程中,往往根據潮港的性質靈活的表示,比如有的列出了平均高潮、平均低潮、平均高高潮和極端最低潮高。具體表格形式見圖 4。
圖4 美版海圖 11442 中配置的潮信表日版海圖圖式里沒有規定具體格式,表示形式靈活多樣,常見的表格形式見圖 5、6。
圖5 日版海圖中 W18 中配置的潮信表(1)
圖6 日版海圖 W18 中配置的潮信表(2)配置原則
根據規範要求及潮信表的用途,潮信表在海圖上的配置應遵循以下原則:
(1) 依據航海圖圖幅範圍內包含港口的數量,進港航道的位置和長度,合理配置潮信表。
(2) 大比例尺港灣圖( 大於1:10萬) 應適當多配潮信表港站,一般至多 6、7 個,最多不宜超過10個港站;中小比例尺(1∶50萬以上) 一般不配置潮信表。
(3) 潮信資料較多時,優先選取較大的港口、水深較淺的港口、航道附近的潮站。
(4) 潮信表的編排順序,考慮航海人員的用圖習慣,按進港方向,由外向內依次編排。狹窄的港灣或江河口門兩側都有潮信港站,則進港方向按漲潮方向順序編排,另一側按落潮方向順序編排。
(5) 潮高基準面應與海圖深度基準面保持一致。我國目前統一採用理論最低潮面作為潮高和海圖水深的起算面,兩者基準面在理論上是一致的。在潮信表中,平均海面是從潮高基準面起算的高度,其在數值上與海圖深度基準面一致。然而,實際工作中海圖水深資料和潮汐觀測資料的更新周期在時間上是不同步的,往往容易造成潮高基準面與海圖深度基準面不一致的情況。製圖編輯在分析海圖水深資料、配置潮信表時,若發現兩者基準面不一致,應按相應方法進行處理。
問題分析與改進
存在的問題
隨著沿岸港口建設和海洋技術的發展,部版海圖潮信表配置和套用中的問題變得日益突出,需要做出適當的調整以方便航海人員使用。目前較為突出的問題主要有:
(1) 潮信表式樣繁多不一
潮信表基於潮汐類型的差異分為三種式樣,分別表示其特有的潮汐特徵值,其中半日潮型潮信表與其他兩種差別較大,對於多數情況下既包含半日潮,又包含日潮和混合潮潮港的海圖來說,不利於圖面空間有效表示,給製圖人員合理配置潮信錶帶來不便。
(2) 潮信表羅列內容冗長
部版潮信表不僅式樣繁多,而且羅列的內容冗長,特別是日潮和混合潮潮信表分為月赤緯 0 時和月赤緯最大時兩種情況表示潮汐間隙和潮高,月赤緯最大時平均潮汐間隙再分為北赤緯和南赤緯,每個潮港共列出了17組數據。這些數據雖然完整表達了潮港在月球赤緯變化過程的潮汐漲落特徵,但針對於概略推算潮汐的海圖潮信表,這樣詳細的內容顯得過於繁瑣,且不符合海圖要素簡潔、直觀的表示要求。
(3) 潮汐推算費時複雜且精度不高
半日潮型潮信表在推算潮汐時,不僅需在潮汐表中查詢月上(下) 中天時刻,還要查詢其附近主港的所求日期與大潮日的間隔天數; 而日潮和混合潮潮信表在推算潮汐時,除需查詢月中天時刻和附近主港潮汐信息外,還要依據劃分的兩種情況,即所求日期在月赤緯最小與最大之間抑或最大與最小之間,再由不同的公式計算。上述潮汐推算過程複雜費時,極易出錯,並且這種推算方法是通過簡單的線性內插獲得,線性假設條件與實際潮汐變化有較大差異,推算結果精度往往較低。
(4) 高低潮間隙沒有必要表示
高低潮間隙是為了求算高低潮時刻而設定的。高潮或低潮時等於某地月上(下) 中天時加上該地產生高潮或低潮時的時間間隔。由於月上(下) 中天時刻刊載在潮汐表或航海天文歷等表冊,需要經過查詢才能得到。與其費力查詢中天時刻不如直接查找潮汐表的潮汐預報數值,既詳細又準確。因此,海圖潮信表登載高低潮間隙,對於大致的潮汐推算而言,確實無大的必要。
解決思路
針對上述問題,按照簡單明了、便於理解和高效實用的原則,本文對海圖潮信表從以下四個方面進行重新設計。
(1) 大潮升表示為平均大潮高潮面
平均大潮高潮面是個很重要的基準面,《海道測量規範》中規定: “海岸線以平均大潮高潮時所形成的實際痕跡進行測繪”,“燈塔、燈樁的燈光中心高度從平均大潮高潮面起算”。由此可見,平均大潮高潮面是確定岸線的重要依據。至於海面以上其他要素,如燈塔、燈樁的燈光中心、海上橋樑、線纜以及明礁的高度,也是由平均大潮高潮面來確定。平均大潮高潮面在海洋測繪數據獲取、處理、管理和套用各環節中具有重要作用和意義,該數值在我國海區各潮港需要統一定義,尤其要在海圖潮信表中明確表示。相應的小潮升可改為平均小潮高潮面。
(2) 刪除潮汐間隙
高低潮間隙是為了求算高低潮時刻而設定的。然而,隨著港口的發展完善,港口潮汐預報和航道通航率已能得到有效保障。在此情況下,由潮信表推算高低潮時的重要性和必要性大大降低,故可省略該項參數以簡化潮信表。
(3) 取消月赤緯最大最小分類
日潮和混合潮潮信表中的月赤緯分類,主要是為了提高潮汐推算精度而配置的,但局限於推算原理,其提高的精度是有限的。在當前已具備各種高精度潮汐預報技術的前提下,月赤緯分類存在的意義不大,可省去,由此也可大大簡化潮信表,方便航海人員使用。
(4) 不同潮汐類型表格合併處理
把不同潮汐類型的潮信數據進行格式排列後,經過分類比較,不難發現其中的類似排列規律,完全可以合併處理,即不同欄目的表格合併處理後,可形成便於海圖表示和閱讀的一種表格式樣。
改進建議
基於上述解決思路,結合部版潮信表多年來的使用經驗,綜合用戶的反饋意見,參考外版海圖的表示方式,擴充半日潮型潮信表的內容,化簡日潮和混合潮的表現形式,部版潮信表可分日潮和混合潮、半日潮兩種表示形式。其中,前者包含平均高高潮高、低高潮高、高低潮高、低低潮高和平均海面等信息,後者包含平均大潮高潮高、大潮低潮高、小潮高潮高、小潮低潮高和平均海面等信息。另外,依據解決思路第四條,可將兩種類型的潮信表合併為一個表格以方便其在海圖中的配置表示,表格樣式見圖 7。
圖7 簡化後海潮圖圖表改進後潮信數據的處理
日潮和混合潮潮信數據不需處理,直接使用原數據即可。半日潮型潮信表改進後的潮信數據,需對原潮信數據進行處理,經過計算得到。半日潮型潮信表中數據可按如下公式計算:
平均大潮高潮高=大潮升
平均大潮低潮高=2×平均海面-大潮升
平均小潮高潮高=小潮升
平均小潮低潮高=2×平均海面-小潮升
改進後的潮汐推算
改進後潮信表的使用,則需參照部版《潮汐表》,區分潮汐性質分別進行推算。
(1) 半日潮潮信表
所求日的潮高可以根據大潮日至小潮日約間隔7 天和所求日期與大 (小) 潮日期的間隔天數內插求取:
所求日高潮潮高=平均大潮高潮高-(平均大潮高潮高-平均小潮低潮高) /7×(所求日與大潮日相隔天數)
所求日低潮潮高 =2×平均海面-所求日高潮潮高
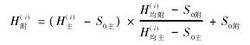
(2) 日潮和混合潮潮信表
在去除分點潮和回歸潮表項後,不能再按照傳統方法進行潮汐推算,可利用時差法水位改正原理,採用主、附港潮差比進行概略推算,推算公式為:
潮信表上述潮汐推算方法,需查詢部版《潮汐表》中主港當日潮汐預報,然後結合海圖潮信表的附港潮信數據進行推算。由於潮差比是主港和附港潮差的平均狀況的比值,故潮汐推算結果僅是提供給航海人員概略潮汐信息,使用時應加以注意。

