簡介
潛在產出法(potentialoutputapproach,PO)也稱邊界生產函式法(frontierproductionfunction)。索洛殘差法和隱性變數法在估算全要素生產率時,都暗含著一個重要的假設即認為經濟資源得到充分利用,此時,全要素生產率增長就等於技術進步率。換言之,這兩種方法在估算全要素生產率時,都忽略了全要素生產率增長的另一個重要組成部分——能力實現改善(improvementincapacityrealization)即技術效率提升的影響。潛在產出法(potentialoutputapproach,PO)也稱邊界生產函式法(frontierproductionfunction)正是基於上述考慮提出的,其基本思路是遵循法雷爾(Farrell,1957)的思想,將經濟成長歸為要素投入增長、技術進步和能力實現改善(技術效率提升)三部分,全要素生產率增長就等於技術進步率與能力實現率改善之和;估算出能力實現率和技術進步率,便給出全要素生產率增長率。
計算方法
設Ry,t為產出增長率,RTP,t為技術進步率,CRt為能力實現率,Ryx,t為要素投入增長所帶來的產出增長率,RTFP,t為全要素生產率增長率,則有:
Ry,t=RTP,t+ΔCRt+Ryx,t(1)
且全要素生產率增長率等於技術進步率與能力實現率變化之和,即:
RTFP,t=RTP,t+ΔCRt(2)
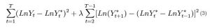
能力實現率CRt測度了現有生產能力的利用程度,反映了現實經濟的生產技術效率,通常利用產出缺口來度量。產出缺口的估算方法很多,目前較為流行的是HP濾波(Hodrick-Prescott,1990),它是通過最小化(T為樣本期):

從而將現實產出的自然對數LnYt分解為趨勢成分(即潛在產出的自然對數
和周期性成分(即產出缺口
)。[2]
如前所述,索洛殘差法和隱性變數法估算的全要素生產率增長率就等於技術進步率,鑒於索洛殘差法較為粗糙,所以我們利用隱性變數法估算的全要素生產率增長率作為技術進步率RTP,這樣利用公式(2)便得到全要素生產率的估算。潛在產出法最大的優點在於,全面考慮了技術進步和能力實現改善對全要素生產率增長的影響,且藉助這種方法可以更全面地分析經濟成長源泉。但它的缺點也很明顯,主要體現在它是建立在產出缺口估算基礎上,而無論用何種方法估算產出缺口,都會存在估算誤差,從而導致全要素生產率增長率估算偏差。
潛在產出法的優點
潛在產出法最大的優點在於,全面考慮了技術進步和能力實現改善對全要素生產率增長的影響,且藉助這種方法可以更全面地分析經濟成長源泉。但它的缺點也很明顯,主要體現在它是建立在產出缺口估算基礎上,而無論用何種方法估算產出缺口,都會存在估算誤差,從而導致全要素生產率增長率估算偏差。

