定義
滯後校正是指通過對中頻及高頻幅值衰減的特性,使幅值穿越頻率向低頻方向移動,與此同時使中頻及高頻的相位特性基本不變,從而使系統的相位裕量滿足要求。滯後校正可以用來改善系統的穩態性能。這是滯後校正因為降低了高頻增益,使系統的總增益增大,低頻增益可以增加,從而改善了穩態精度(降低了穩態誤差)。此外,系統中包含的任何高頻噪音,都可以得到衰減。
特點
滯後校正具有以下特點:
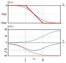
(1)幅頻特性小於或等於0dB,是一個低通濾波器;
滯後校正
滯後校正
滯後校正(2)小於等於零,可看作是一階微分環節與慣性環節的串聯,但慣性環節時間常數大於一階微分環節時間常數(分母的時間常數大於分子的時間常數),即積分效應大於微分效應,相角表現為一種滯後效應;
滯後校正
滯後校正(3)最大負相移發生在轉折頻率與的幾何中點。
適用場合
滯後校正主要適用於以下場合:
(1)在系統回響速度要求不高而抑制噪聲電平性能要求較高或需提高相位裕度的情況下,可考慮採用串聯滯後校正;
(2)保持原有的已知要求的動態性能不變,而用以提高系統的開環增益,減小系統的穩態誤差,可考慮採用串聯滯後校正;
(3)若原系統已經不穩定或相對穩定裕度很小時,不能採用滯後校正。
滯後校正裝置
滯後校正具有滯後相位特性(即相頻特性小於零)的校正裝置叫滯後校正裝置,又稱之為積分校正裝置。
矯正步驟
Bode圖
滯後校正(1)求出滿足穩態性能指標的開環增益值;
滯後校正
滯後校正
滯後校正(2)根據求出的值,畫出校正前的Bode圖,確定此時的幅值穿越頻率和相位裕量;
滯後校正
滯後校正
滯後校正
滯後校正
滯後校正(3)選擇一新的幅值穿越頻率點,使得在處原系統的相位滯後量為:。此式實際就是由相角裕量定義式得到,為系統期望的相角裕量;
滯後校正
滯後校正
滯後校正
滯後校正
滯後校正(4)求出校正網路中的值後,為使校正後系統的幅值穿越頻率為,必須把原系統在的幅值衰減到0dB,即當相位滯後校正網路起作用後應使得:;
(5)選擇校正網路零點;
(6)畫出校正後的Bode圖,確定此時的幅值穿越頻率和相位裕量,校驗系統的性能指標。一定要校驗,不滿足重做;
(7)求出網路參數。這步在實現中是必不可少的,但電路參數的選擇有很多技巧,如不特別申明,可省略不做。
作用
滯後校正的高頻段是負增益,因此,滯後校正對系統中高頻噪音有削弱作用,增強抗干擾能力。利用滯後校正的這一低通濾波所造成的高頻衰減特性,降低系統的截止頻率(也稱穿越頻率),提高系統的相位裕度,以減小系統的超調量,改善系統的穩定性,這是滯後校正的作用之一。為了避免滯後環節的負相位對相位裕度影響,應儘量使網路的最大滯後相位遠離系統的截止頻率。其目的是保持未校正系統在要求的開環剪下頻率附近的相頻特性曲線基本不變。由此可知選擇滯後校正環節零極點的準則就是,使零極點儘量遠小於截止頻率,以降低相角滯後所帶來的影響。
滯後校正對系統的影響和限制
影響
滯後校正
滯後校正(1)從Bode圖看系統的幅值穿越頻率減小了,對應減小;
滯後校正(2)幅頻特性在附近的斜率減小了,即曲線平坦了;
滯後校正
滯後校正(3)改善了系統的相位裕量和增益裕量,提高了系統的相對穩定性;
(4)減小了系統的最大超調量,但上升時間等增大;
(5)本身對系統的穩態誤差沒有影響,但由於對中高頻段幅值的衰減,所以可以提高低頻段的幅值,提高穩態性能。
限制
當系統在低頻段相頻特性上找不到滿足系統相位裕量點時,不能用相位滯後校正。

