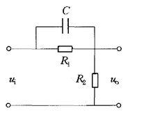
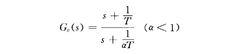
超前校正超前校正的校正裝置的傳遞函式為的一類串聯校正在超前校正裝置上輸人入一個正弦信號,則其輸出量也是一個正弦信號,但在相位上超前於輸入信號一個角度,超前校正之名即源於此.。在複平面上,超前校正裝置的特點是其傳遞函式的零點總是位於極點的右方。超前校正裝置基本上是一個高通濾波器,主要作用是能使控制系統的瞬態回響得到顯著改善,但不能顯著改善穩態精度。同時,如果存在噪聲,則引入超前校正的結果會降低控制系統的信噪比,圖中為用電阻、電容元件構成的一個超 前校正網路.
超前校正超前校正(Iead correction)控制系統的一種校正方式.,利用超前網路的超前特性改變頻率回響曲線的形狀,產生足夠大的相位超前角,以補償原系統中的元件造成的過大的相角滯後
超前校正超前校正的校正裝置的傳遞函式為的一類串聯校正在超前校正裝置上輸人入一個正弦信號,則其輸出量也是一個正弦信號,但在相位上超前於輸入信號一個角度,超前校正之名即源於此.。在複平面上,超前校正裝置的特點是其傳遞函式的零點總是位於極點的右方。超前校正裝置基本上是一個高通濾波器,主要作用是能使控制系統的瞬態回響得到顯著改善,但不能顯著改善穩態精度。同時,如果存在噪聲,則引入超前校正的結果會降低控制系統的信噪比,圖中為用電阻、電容元件構成的一個超 前校正網路.
超前校正滯後超前校正lag-lad compensation超前校正主要能使瞬態回響得到顯著改善,其穩態精度的提高則較少;而滯後校正能使穩態精度得到顯著提高,但瞬態回響的時間隨之而增加。滯後超前校正綜合了超前校正和滯後校正...
"超前校正是控制系統中的一種叫正方法
滯後一超前校正(lag-lead correction)控制系統的一種校正方式。是校正裝置的傳遞函式為的一類串聯校正。
幾個同頻率的正弦交流量在變化過程中,相對計時起點t=0而言先達到零值(或最大值)者稱之為相位超前。相位超前的矯正可以用相位超前矯正裝置,既可以改善系統的...
定義 相位超前校正超前滯後控制(Lead and lag control)採用前置計數器和後置計數器實現觸發點前後的採集樣點數的控制,滯後一超前校正綜合了滯後校正和超前校...
超前/滯後控制 電路核心 滯後一超前校正控制系統 超前/滯後電路的控制信號和邏輯時序通過引入附加裝置使控制系統的性能得到改善的方法。控制系統校正方法是經典控制理論的一個主要組成部分。通常討論僅限於單輸入、單輸出的線性定常控制系統。控制系...
概述 校正方式 串聯校正裝置 並聯校正裝置 基本方法超前地質預報或隧道超前地質預報(Tunnel Geological Prediction/Prospecting)是在隧道開挖時,對掌子面前方及其周邊(...
分類 超前預報 高密度電法超前滯後(Lead/Lag)模組是指提供了對輸入(IN)參數的動態補償的模組,它能提供超前或滯後補償,或同時提供兩者。用戶可以通過設定適當的超前時間和滯...
儀器名稱:HSP206T超前地質預報儀 2007年又與北京振沖公司合作開展國家十一五科技支撐計畫科研項目“南水北調工程西線超長隧洞TBM施工關鍵技術問題...
