定義
兩個頻率相同的正弦電的相位之差叫做相位差,數值上等於兩個初相角之差。當相位差為零時,它們的初相位相同,即表明兩個交流電同時達到零值或最大值,叫做同相。若一個交流電比另一個交流電早到零位(或正的最大值),則前者叫做相位超前,後者叫做相位滯後。
相位超前校正
超前網路特性
相位超前右圖是R-C超前網路的電路圖。如果輸入信號源的內阻為零,輸出端負載阻抗為無窮大,則超前網路的傳遞函式可寫為
相位超前式中
相位超前
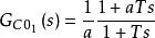
相位超前可見,若將無源超前網路接入系統,系統的開環增益會降到原來的1/a。為補償超前網路造成的增益衰減,需要另外串聯一個放大器或將原放大器的放大倍數提高a倍。增益補償後的網路傳遞函式
相位超前
相位超前超前網路G(s)的對數頻率特性曲線,如右圖所示。可見,該校正裝置的相角總是超前的,故稱為相角超前網路。
超前網路G(s)的相頻特性為
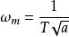
相位超前將上式對ω求導並令其為零,可求出最大超前角頻率
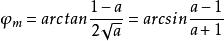
相位超前顯然,ω位於L(ω)兩轉折頻率1/(aT)和1/T的幾何中心。將ω 代入超前網路G(s)的相頻特性式中,可求出最大超前角
相位超前由此可看出,最大超前角φ僅與a有關。a值選得越大,獲得的φ越大,但同時高頻段也抬得越高。為使系統具有較高的信噪比,實際選用的a值一般不超過20。
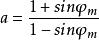
由上式可推出
相位超前則可以根據所需的φ確定滿足條件的a。
超前校正裝置對控制系統會產生兩方面的有利影響。一是相角超前,即適當選擇校正裝置參數,使最大超前角頻率ω置於校正後系統的截止頻率ω處,就可以有效增加系統的相角裕度,提高系統的相對穩定性。二是幅值增加,即將校正裝置的對數幅頻特性疊加到原系統開環對數幅頻特性上,會使系統的截止頻率ω右移(增大),有利於提高系統回響的快速性。
串聯超前校正
超前網路的特性是相角超前,幅值增加。串聯超前校正的實質是將超前網路的最大超前角補在校正後系統開環頻率特性的截止頻率處,提高校正後系統的相角裕度和截止頻率,從而改善系統的動態性能。
假設未校正系統的開環傳遞函式為G(s),系統給定的穩態誤差、截止頻率、相角裕度和幅值裕度指標分別為e*,ω*,r*和h*,設計超前校正裝置的一般步驟可歸納如下:
(1)根據給定穩態誤差e*的要求,確定系統的開環增益K;
(2)根據已確定的開環增益K,繪出未校正系統的對數幅頻特性曲線,並求出截止頻率ω和相角裕度r。當ω<ω*,r時,首先考慮用超前校正。
(3)根據給定的相角裕度r*,計算校正裝置所應提供的最大相角超前量φ,即φr*-r+(5°~15°),預加的(5°~15°)是為了補償因校正後截止頻率增大所導致的校正前系統的相角裕度的損失量。若未校正系統的對數幅頻特性在截止頻率處的斜率為-40dB/dec,並不再向下轉折時,可以取5°~8°;若該頻段斜率從-40dB/dec繼續轉折為-60dB/dec,甚至更小時,則補償角應適當取大些。
相位超前(4)根據所確定的最大超前相角φ,按式求出相應的a值。
(5)選定校正後系統的截止頻率。
(6)確定校正裝置的傳遞函式並驗算是否滿足設計條件
若不滿足,則返回(3),適當增加相角補償量,重新設計直到滿足要求。當調整相角補償量不能達到設計指標時,應改變校正方案,可嘗試使用滯後-超前校正。

