定義
測量的兩個基本特性為:信度和效度,它們是測量手段適用時所必須考慮的。 測量信度指測量結果的可靠性和一致性,即指測量分數與真實水平之間的一致程度。因為心理測驗通常測量人的行為,行為會由於各種各樣的原因,因時、因事、因地而產生變動,這些因素有些是偶然的,有些是固有的,人在完成心理測驗時的行為也會受上述因素的影響,從而使測驗結果與真實結果不完全一致,所以我們要用信度來衡量測驗的可靠性和一致性。
信度的操作化定義
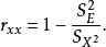
誤差理論認為:一個人的測驗分數X是由真實分數(T)和誤差(E)兩部分構成的,公式是X=T+E。因此信度就被定義為一組測量分數的真實方差與實得方差的比,或者是指真實方差占總方差的百分比,公式為:
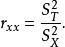
測量信度根據統計學理論,真實方差與實得方差的比是一個相關係數的平方,所以我們把這種相關係數的平方叫做信度係數,計算公式為:
測量信度一般的,性能良好的能力與學習成就測驗的信度係數應達到0.90以上,性格、興趣、價值觀等人格測驗的信度係數應達到0.90以上。
信度係數的類型和估計方法
大部分情況下,信度是以信度係數為指標,它是一種相關係數。理論上說就是真分數方差與實得分數的方差的比值對於常模參照測驗,常用的信度估計方法有重測信度、複本信度、分半信度、內部一致性係數、評分者信度,以及綜合重測信度和複本信度特它們的相應檢驗方法為:點的穩定等係數等。對於標準參照測驗,由於分數變異較小,不太適合用相關法估計。
重測信度
估計測驗中跨時間的一致性,又稱為穩定性係數,它的它的計量方法是採用重測法。用同一測驗,在不同時間對同一群體施測兩次,這兩次測量分數的相關係數即為重測係數。
重測信度的前提假設是:
(1)所測量的特性必須是穩定的;
(2)每個人對前一次反應的遺忘程度相同;
(3)在時間間隔中沒有學習另外的與測驗有關的東西。
分半信度
將一套量表的各項目按奇、偶數號分成兩半,對其評定結果進行相關性檢驗。由於分半信度檢驗最好要求量表項目按難度排列,而大多數評定量表均非如此,故其使用有限。
同質性信度
所謂同質性信度是指評定量表內部所有項目間的一致性,這裡講的是分數的一致,而不是項目內容或形式的一致。量表內各項目分數相關越高,則量表項目就越同質。最常用的檢驗同質性信度方法為庫德一理查遜公式(KuderRichardson formula 20,K-R20),但K-R20公式只適用於二分法計分題量表,而對多重記分法量表則常用克倫巴赫α係數(Cronbach' s S α Coefficicient)估計。另外,分半相關法也是估計同質性信度的一種方法。
評定者信度
數名不同評定者採用同一套量表對相同受評者進行評定,對所得結果進行一致性檢驗,以估計評定量表評分客觀性。對心理測驗而言,一般都採用客觀性項目,且有一套相當標準化的評分程式,因此由評分引起的誤差變異是可以忽略的。而評定量表相當多的是主觀項目,且評定者在評分時或多或少摻雜主觀判斷成分,故評定者之間的評分誤差變異難以避免。一般要求在成對的受過訓練的評定者之間平均相關係數達到0.9以上,才認為評分是客觀的。
信度的影響因素
影響信度的因素主要有以下幾種:
樣本的特徵
(1)樣本團體分數分布的影響:任何相關關係都受到團體中分數分布的影響,當分布範圍增大時,其信度估計就較高;當分布範圍減小時,相關係數隨之下降,信度值則較低。
(2)樣本團體異質性的影響:若獲得信度的取樣團體較為異質的話,往往會高估測驗的信度,相反則會低估測驗的信度。樣本團體平均能力水平的影響:對於不同水平的團體,題目具有不同的難度,每個題目在難度上的微小差異累計起來便會影響信度。
測驗的長度
在一個測驗中增加同質的題目,可以使信度提高。測驗越長,測驗的測題取樣或內容取樣越有代表性;測驗越長,被試的猜測因素影響越小。
測驗的難度
如果一個測驗對某團體而言太容易,會使所得分數都集中在高分端;當題目太困難時,得分就會集中在低分端。兩種情況均會使信度樣本的分數範圍變窄,從而使測驗變得不夠可靠。
測驗的時間間隔
以再測法或複本法求信度,兩次測驗相隔時間越短,其信度係數越大;間隔時間越久,其他變因介入的可能性越大,受外界的影響越大,信度係數便越低。
提高測量信度的方法
(1)適當增加測驗的長度:增加一些與原測項目具有同質性的項目有助於提高測量信度,因為測量信度和測量項目多少是有直接關係的。有兩點需要注意:第一,新增項目必須與試卷中原有項目同質;第二,新增項目的數量必須適度。
(2)使測驗中所有試題的難度接近常態分配,並控制在中等水平。這樣可以使得被測團體得分分布也會接近常態分配,且標準差會較大,信度也會增大。
(3)努力提高測驗試題的區分度。一份測驗所有試題區分度的高低直接影響測驗的信度。努力提高測驗中所有試題的區分度,可望獲取較高的測驗信度。
(4)選取恰當的被試團體,提高測驗在各同質性較強的亞團體上的信度。在檢驗測驗信度時,一定要根據測驗的使用目的來選擇被試。即在編制和使用測驗時,要弄清楚常模團體的年齡、性別、文化程度、職業、愛好等因素。在一個特殊異質的團體上獲得的信度值並不等於其中某些較同質的亞團體的信度值。當各亞團體的信度值都符合要求時,測驗才能具有更廣泛的價值。
(5)主試者嚴格執行施測規程,評分者嚴格按照標準給分,施測場地按測驗手冊的要求進行布置,減少無關因素的干擾。

